Derivation and validation of modified early warning score plus SpO2/FiO2 score for predicting acute deterioration of patients with hematological malignancies

Article information

Korean J Intern Med. 2020;35(6):1477-1488
Publication date (electronic) : 2020 March 3
doi : https://doi.org/10.3904/kjim.2018.438
1Medical Emergency Team, Asan Medical Center, University of Ulsan College of Medicine, Seoul, Korea
2Department of Clinical Epidemiology and Biostatistics, Asan Medical Center, University of Ulsan College of Medicine, Seoul, Korea
3Department of Pulmonary and Critical Care Medicine, Asan Medical Center, University of Ulsan College of Medicine, Seoul, Korea
Correspondence to Jin Won Huh, M.D. Department of Pulmonary and Critical Care Medicine, Asan Medical Center, University of Ulsan College of Medicine, 88 Olympic-ro 43-gil, Songpa-gu, Seoul 05505, Korea Tel: +82-2-3010-3985 Fax: +82-2-3010-6968 E-mail: jwhuh@amc.seoul.kr
Received 2018 December 6; Revised 2019 April 20; Accepted 2019 June 22.

Abstract

Background/Aims

Scoring systems play an important role in predicting intensive care unit (ICU) admission or estimating the risk of death in critically ill patients with hematological malignancies. We evaluated the modified early warning score (MEWS) for predicting ICU admissions and in-hospital mortality among at-risk patients with hematological malignancies and developed an optimized MEWS.

Methods

We retrospectively analyzed derivation cohort patients with hematological malignancies who were managed by a medical emergency team (MET) in the general ward and prospectively validated the data. We compared the traditional MEWS with the MEWS plus SpO2/FiO2 (MEWS_SF) score, which were calculated at the time of MET contact.

Results

In the derivation cohort, the areas under the receiver-operating characteristic (AUROC) curves were 0.81 for the MEWS (95% confidence interval [CI], 0.76 to 0.87) and 0.87 for the MEWS_SF score (95% CI, 0.87 to 0.92) for predicting ICU admission. The AUROC curves were 0.70 for the MEWS (95% CI, 0.63 to 0.77) and 0.76 for the MEWS_SF score (95% CI, 0.70 to 0.83) for predicting in-hospital mortality. In the validation cohort, the AUROC curves were 0.71 for the MEWS (95% CI, 0.66 to 0.77) and 0.83 for the MEWS_SF score (95% CI, 0.78 to 0.87) for predicting ICU admission. The AUROC curves were 0.64 for the MEWS (95% CI, 0.57 to 0.70) and 0.74 for the MEWS_SF score (95% CI, 0.69 to 0.80) for predicting in-hospital mortality.

Conclusions

Compared to the traditional MEWS, the MEWS_SF score may be a useful tool that can be used in the general ward to identify deteriorating patients with hematological malignancies.

INTRODUCTION

The survival of patients with hematological malignancies has recently improved because of advances in chemotherapy protocols and transplantation conditioning regimens [1,2]. Aggressive treatment and improved general care has also led to an increased demand for intensive care among hospitalized patients with hematological malignancies [1]. Favorable outcomes may be associated with an appropriate timing of transfer to the intensive care unit (ICU) [3], and previous studies have suggested that up to 50% of cardiopulmonary arrests in the general ward could be prevented by earlier treatment and transfer to the ICU [4]. Azoulay et al. [5] reported that earlier ICU admission was associated with improved survival in critically ill patients with hematologic malignancies. However, resource limitations in ICUs can lead to patients staying longer in the general ward and receiving inadequate treatment [6]. Thus, delayed ICU admission can lead to physiological deterioration, prolonged hospitalization, high costs, and poor outcomes [3,6,7].

Previous studies have revealed that the involvement of a medical emergency team (MET) can reduce the rates of unplanned ICU admissions, cardiac arrests, and in-hospital mortality [8,9]. The modified early warning score (MEWS) is used to identify patients in the general ward who will benefit from involvement of a MET, as well as to predict ICU admissions and in-hospital mortality [10- 12]. The MEWS tool is based on physiological variables that predict patient deterioration in high-risk cases and several studies have revealed that the MEWS can facilitate early ICU admissions, which results in better patient outcomes [10,11,13,14].

The National Institute for Health and Clinical Excellence [15] recommends routinely using a system for patient monitoring, such as the MEWS, in the hematology ward. This system should be able to provide early identification of at-risk patients and facilitate their referral to receive critical care before their deterioration. Although critical illness is characterized by physiological deterioration, there are few data to support the suggestion that the traditional MEWS can predict outcomes among patients with hematological malignancies [6,16,17]. Moreover, little is known regarding the effectiveness of the traditional MEWS for predicting outcomes among patients with hematological malignancies in the general ward. Therefore, the present study was conducted to evaluate the ability of the traditional MEWS to predict ICU admissions and mortality among patients with hematological malignancies in the general ward and to develop a modified MEWS based on these patients’ characteristics.

METHODS

Study cohort

This study was approved by the Institutional Review Board of Asan Medical Center, Korea (IRB no.: 2016- 0857). The need for informed consent was waived by the ethics committee as this study involved routinely collected medical data that were anonymously managed. This study enrolled two separate cohorts of deteriorating adult patients (aged ≥ 18 years) who received treatment from our MET in the general ward for hematological malignancies. All patients had been treated at the Asan Medical Center, which is a university-affiliated tertiary-care hospital in Seoul, South Korea. The center has approximately 2,700 beds, including 28 medical ICU beds, and treats approximately 100,000 adult patients each year.

The derivation cohort from which data were retrospectively collected included 220 deteriorating adult patients who received treatment from our MET in the general ward for hematological malignancies between January 2014 and November 2015. The validation cohort from which data were prospectively collected and retrospectively analyzed included 320 deteriorating adult patients in the hematological general ward between March 2016 and September 2017 (Fig. 1). The exclusion criteria were MEWSs that could not be calculated because of missing data, the implementation of not-for-resuscitation (NFR) before MET contact or within 24 hours after MET contact, and the MET being contacted to perform cardiopulmonary resuscitation (CPR).

Figure 1.

Study flow chart. MET, medical emergency team; NFR, not for resuscitation.

The medical emergency team

The MET nurse practitioners, medical ICU residents, fellows, and staff performed MET activities daily if pre-defined vital signs or the laboratory threshold were reached by EMR monitoring or if a general word nurse or resident called the MET by telephone or pager [18]. In our hospital, the MET decided whether to transfer deteriorating patients to the ICU after initial assessment and treatment in the ward.

Data collection

Data were collected using case forms that were completed by the MET nurse practitioners and the patient’s electronic medical records in both the derivation and validation cohorts. Variables were the demographic data, types of malignancies, comorbidities, disease status, bone marrow transplantation (BMT) or hematopoietic stem cell transplantation (HSCT) and type (autologous versus allogeneic), presence of graft-versus-host disease, presence of febrile neutropenia, performance status [19] at admission, reason for MET activation, physiological data, laboratory data, quick sequential organ failure assessment (qSOFA) score, sequential organ failure assessment (SOFA) score, NFR after MET activation, and MEWS. The traditional MEWS consisted of the systolic blood pressure, pulse rate, respiratory rate, body temperature, and mental status [11]. The components of the qSOFA [20], SOFA [21], and MEWS [11] are shown in Supplementary Table 1.

The SpO2/FiO2 (SF) ratio was derived noninvasively using pulse oximetry [19,22]. The SF ratio was scored based on a previous study [22]: SF scores of 0 points for > 315, 2 points for 236 to 315, and 3 points for ≤ 235. The primary outcome of this study was ICU admission. The secondary outcome was in-hospital mortality.

Statistical methods

Data are expressed as medians with interquartile ranges. Statistical analysis of the data was performed using chisquare analysis for categorical data and nonparametric Wilcoxon tests for continuous data, as appropriate.

Univariate and multivariate logistic regression analyses were used to assess the MEWS and SF score as predictors of outcomes (ICU admission and in-hospital mortality). The multivariate analyses were adjusted for age, gender, comorbidities, underlying malignancies, disease status at admission, BMT recipients, performance status, the SOFA score, the qSOFA score, the reason for MET activation and NFR after MET activation, the MEWS, and the SF score. The results of these analyses were reported as odds ratios (ORs) with 95% confidence intervals (CIs).

Areas under the receiver-operating characteristic (AUROC) curves were calculated to evaluate the abilities of the MEWS, SF score, and MEWS plus SF (MEWS_SF) score to predict ICU admissions and in-hospital mortality. In these analyses, AUROC values of > 0.8 indicated good discrimination, values of 0.6 to 0.8 indicated moderate discrimination, and values of < 0.6 indicated poor discrimination [23]. We also calculated the sensitivities and specificities for predicting ICU admissions and in-hospital mortality.

Next, the prediction power of the MEWS, SF score, and MEWS_SF score were reassessed in the validation cohort. Differences with a p value of < 0.05 were considered statistically significant. All analyses were performed using IBM SPSS software version 20.0 (IBM Corp., Armonk, NY, USA).

RESULTS

Derivation cohort

A total of 2,832 deteriorating ward patients had MET contact during the derivation period, and 243 patients with hematologic malignancies were included. Eighteen patients who received NFR after MET contact, and 5 patients who were MET-activated by CPR were excluded. Finally, 220 patients were enrolled in the derivation cohort.

The characteristics at admission of these 220 patients are shown in Table 1. The median patient age was 54 years (interquartile range [IQR], 42 to 63), and 61.4% were male. The most common hematological malignancies were acute myeloid leukemia (41.3%) and lymphoma (23.6%). The disease status at admission was relapsed or refractory in 64.1% of the patients.

Baseline characteristic at admission in derivation and validation cohorts

Table 2 describes the laboratory and clinical outcomes at MET contact. The main reasons for MET contact were respiratory distress (55.5%), sepsis or septic shock (26.8%), and altered mental status (4.5%). The median MEWS and SF score were 6 (IQR, 4 to 7) and 2 (IQR, 0 to 3). The ICU admission rate and in-hospital mortality rate were 46.8% and 51.8%%, respectively.

Characteristic and outcomes activated medical emergency team in derivation and validation cohorts

The univariate analyses revealed that ICU admission was significantly associated with BMT/HSCT recipients (OR, 1.89; 95% CI, 1.10 to 3.25), the MEWS (OR, 1.89; 95% CI, 1.57 to 2.28), the SF score (OR, 1.59; 95% CI, 1.30 to 1.95), and the SOFA score (OR, 1.12; 95% CI, 1.02 to 1.24) (Supplementary Table 2). The multivariate analyses revealed that ICU admission was independently associated with the MEWS (OR, 2.20; 95% CI, 1.67 to 2.78) and SF score (OR, 2.11; 95% CI, 1.47 to 3.02) (Table 3).

Multivariate analyses for intensive care unit admission in derivation cohort and validation cohort

The AUROC curves for predicting ICU admissions using the MEWS, SF score, and MEWS_SF score are shown in Fig. 2. The AUROC values were 0.69 for the SF score, 0.81 for the MEWS, and 0.87 for the MEWS_SF score; both the MEWS and MEWS_SF score were considered to have good discriminatory value. The cut-off value for predicting ICU admission using the MEWS was 6 (sensitivity: 77.7%, specificity: 74.4%, positive predictive value: 72.7%, negative predictive value: 79.1%), and the cutoff value using the MEWS-SF score was 7 (sensitivity: 83.5%, specificity: 80.3%, positive predictive value: 79.0%, negative predictive value: 84.7%) (Table 4).

Figure 2.

The receiver operator characteristic curves of modified early warning score (MEWS) and MEWS plus SpO2/FiO2 to predict intensive care unit admission after medical emergency team activation (SpO2/FiO2 scores of 0 points for > 315, 2 points for ≤ 315 SpO2/FiO2 ratio < 235, 3 points for ≤ 235). (A) Derivation cohort. (B) Validation cohort. AUC, area under the curve; CI, confidence interval; SF score, SpO2/FiO2 score.

Multivariate analyses for in-hospital mortality in derivation cohort and validation cohort

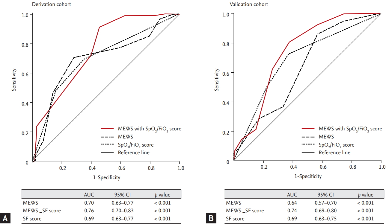
The univariate analyses revealed that in-hospital mortality was significantly associated with respiratory distress (OR, 2.08; 95% CI, 1.21 to 3.60), the MEWS (OR, 1.34; 95% CI: 1.20 to 1.57), the SF score (OR, 1.80; 95% CI, 1.45 to 2.22), the SOFA score (OR, 1.13; 95% CI, 1.02 to 1.24), and NFR after MET activation (OR, 2.00; 95% CI, 1.04 to 3.81) (Supplementary Table 3). The multivariate analyses revealed that ICU admission was independently associated with the MEWS (OR, 2.01; 95% CI, 1.48 to 2.72) and SF score (OR, 2.01; 95% CI, 1.48 to 2.72) (Table 5). The AUROC curves for predicting in-hospital mortality using the MEWS, SF score, and MEWS_SF score are shown in Fig. 3. The AUROC values were 0.69 for the SF score, 0.70 for the MEWS, and 0.76 for the MEWS_SF score. The cut-off value for predicting in-hospital mortality using the MEWS was 6 (sensitivity: 70.2%, specificity: 71.7%, positive predictive value: 72.7%, negative predictive value: 69.1%), and the cut-off value using the MEWS-SF score was 7 (sensitivity: 71.9%, specificity: 60.4%, positive predictive value: 66.1%, negative predictive value: 66.7%) (Table 6).

Sensitivity and specificity according to cutoff of risk score for intensive care unit admission in derivation and validation cohort

Figure 3.

The receiver operator characteristic curves of modified early warning score (MEWS) and MEWS plus SpO2/FiO2 to predict in-hospital mortality after medical emergency team activation (SpO2/FiO2 scores of 0 points for > 315, 2 points for ≤ 315 SpO2/FiO2 ratio < 235, 3 points for ≤ 235). (A) Derivation cohort. (B) Validation cohort. AUC, area under the curve; CI, confidence interval; SF score, SpO2/FiO2 score.

Sensitivity and specificity according to cutoff of risk score for in-hospital mortality in derivation and validation cohort

Validation cohort

A total of 3,240 deteriorating ward patients had MET contact during the validation period, and 350 deteriorating ward patients with hematologic malignancies were included. Twenty-four patients who received NFR before MET contact and six patients who were MET-activated by CPR were excluded. We evaluated this separate cohort of 320 patients to test the validity of the MEWS_ SF score. Only the Eastern Cooperative Oncology Group performance status and rate of NFR after MET activation showed significant differences between the derivation and validation cohorts.

In the validation cohort, the AUROC curves for predicting ICU admissions using the MEWS, SF score, and MEWS_SF score are shown in Fig. 2. The AUROC values were 0.71 for the SF score, 0.71 for the MEWS, and 0.83 for the MEWS_SF score. The MEWS_SF score was considered to have good discriminatory value compared to the MEWS. The cut-off value for predicting ICU admission using the MEWS was 6 (sensitivity: 67.9%, specificity: 60.1%, positive predictive value: 63.6%, negative predictive value: 64.6%), and the cut-off value using the MEWS_SF score was 7 (sensitivity: 85.2%, specificity: 65.2%, positive predictive value: 71.5%, negative predictive value: 81.1%) (Table 4).

The AUROC curves for predicting in-hospital mortality using the MEWS, SF score, and MEWS_SF score are shown in Fig. 3. The AUROC values were 0.69 for the SF score, 0.64 for the MEWS, and 0.74 for the MEWS_SF score. The cut-off value for predicting in-hospital mortality using the MEWS was 6 (sensitivity: 62.1%, specificity: 55.0%, positive predictive value: 60.7%, negative predictive value: 56.5%), and the cut-off value using the MEWS_SF score was 7 (sensitivity: 80.5%, specificity: 62.3%, positive predictive value: 70.5%, negative predictive value: 74.0%) (Table 6).

DISCUSSION

The present study revealed that the MEWS_SF score provided an improved ability to predict ICU admission and in-hospital mortality, compared to the traditional MEWS, among deteriorating patients in a hematology ward. In this study, we evaluated the effectiveness of the MEWS among this specific high-risk population and modified the MEWS based on the characteristics of patients who are at risk of deterioration in the general hematology ward. Multivariate logistic regression analysis revealed that both the SF score and MEWS are independently associated with ICU admissions and in-hospital mortality.

Several previous studies have shown that > 30% of patients with hematological malignancies develop pulmonary complications and approximately 50% of these patients are admitted to an ICU [1,5,24,25]. Other studies have identified acute respiratory failure as a common reason for ICU admission among deteriorating patients with hematological malignancies [26,27]. Furthermore, previous studies have revealed that tachypnea, oxygenation parameters, and the PaO2/FiO2 ratio predict ICU admissions and mortality among patients with hematological malignancies [28,29]. However, arterial blood gas analysis in these patients with coagulopathy is difficult to perform routinely. The SF ratio provides a non-invasive measure of hypoxemia severity and has been proposed as a substitution for the PaO2/FiO2 ratio [22,30]. Sanz et al. [30] suggested that SpO2 may be sufficient for estimating PaO2/FiO2, and an early assessment of oxygen status using the SF ratio can be used to screen for patients that should be admitted to the ICU. The present study showed that the most common reason for ICU admission is respiratory distress requiring oxygen support; thus, we suggest that the SF score can be used to identify deteriorating patients in the general ward.

Mulligan [31] evaluated 71 patients with hematological malignancies in the general ward using two tools: the “trust tool” (an observation chart in which a single abnormal parameter is used to identify at-risk patients) and early warning score (EWS) that was developed by Morgan et al. [32]. The EWS was the first reported track and triggering system (T&TS), and many T&TSs have subsequently been developed (i.e., the MEWS) [16]. Mulligan’s revealed that the Trust tool and EWS (using a trigger score of 3) have high sensitivities (both 82%), but low specificities (7% and 17%, respectively). Cooksley et al. [33] reported that the current T&TSs (the MEWS used at the Christie Hospital and National Early Warning Score) have poor discriminatory values for identifying patients with malignancies who are at-risk of deteriorating and requiring ICU admission. Moreover, several studies have shown that improved sensitivity and specificity for the MEWS could be achieved by modifying the measure reflecting the patients’ characteristics and settings [6,15,16]. Because the findings of previous studies may have limited applicability to patients with hematological malignancies, we herein compared and analyzed the MEWS and SF score to improve the predictive power of ICU admission in this specific patient group.

We modified the traditional MEWS using the SF score as an oxygenation index, given that respiratory failure is the main cause of ICU admissions among patients in the hematology ward. In our study, the estimation of FiO2 in patients with spontaneous breathing was difficult. Indeed, FiO2 depends not only on the oxygen flow rate, but also on several factors such as the respiratory rate, tidal volume, device used to deliver oxygen, and oxygen leaks [34]. However, because our study population comprised deteriorating ward patients who were not using a ventilator, they could not undergo correct FiO2 measurements (they used a variety of O2 devices, such as a nasal prong, venturi-mask, simple mask, etc.) Our study used the SpO2/FiO2 score, which was validated as a noninvasive surrogate of the P/F ratio in mechanically ventilated patients in the ICU setting [22]. To minimize limitations, we performed a prospective validation study using a separate cohort. Our findings indicate that, compared to the traditional MEWS, the MEWS_SF score had a better ability to predict ICU admissions among patients with hematological malignancies.

The present study has several limitations. Our study was undertaken at a single center, which may have been associated with known risks of bias. Transfer to the ICU might have been affected by the attending clinician or occupancy rate of the ICU. Additionally, in-hospital mortality might have been affected by several factors, such as severity, disease status, and NFR after MET activation. However, we included and NFR after MET activation. However, we include the validation cohort to minimize these issues. Moreover, we performed multivariate analysis adjusted for baseline characteristics including severity, disease status, performance status, BMT/HSCT recipients and NFR after MET activation to improve causality.

In conclusion, the MEWS_SF score is superior to the traditional MEWS for identifying patients with hematological malignancies in the general ward who are at-risk for requiring intensive care and predicting in-hospital mortality. These findings suggest that oxygen monitoring is important in at-risk patients with hematological malignancies, and the MEWS_SF score may be a useful screening tool for determining ICU transfer and predicting in-hospital mortality in deteriorating patients with hematological malignancies.

KEY MESSAGE

1. The modified early warning score plus SpO2/ FiO2 (MEWS_SF) score is superior to the traditional MEWS to identify patients with hematological malignancies in the general ward who are at-risk for requiring intensive care.

2. The MEWS_SF score is superior to the traditional MEWS to predict in-hospital mortality in deteriorating ward patients with hematological malignancies.

3. The MEWS_SF score may be a useful screening tool to determine intensive care unit transfer, and predict in-hospital mortality in deteriorating patients with hematological malignancies.

Notes

No potential conflict of interest relevant to this article was reported.

Acknowledgements

This study was supported by a grant of the Korea Health Technology R&D Project through the Korea Health Industry Development Institute (KHIDI), funded by the Ministry of Health and Welfare, Republic of Korea (grant number: HI15C1106H).

Supplementary Materials

Supplementary Table 1.

Components of scoring systems in patients with critically ill

Supplementary Table 2.

Univariate analysis for intensive care unit admission in derivation and validation cohorts

Supplementary Table 3.

Univariate analysis for in-hospital mortality in derivation and validation cohorts

References

1. Benoit DD, Vandewoude KH, Decruyenaere JM, Hoste EA, Colardyn FA. Outcome and early prognostic indicators in patients with a hematologic malignancy admitted to the intensive care unit for a life-threatening complication. Crit Care Med 2003;31:104–112.
2. Dizon DS, Krilov L, Cohen E, et al. Clinical Cancer Advances 2016: annual report on progress against cancer from the American Society of Clinical Oncology. J Clin Oncol 2016;34:987–1011.
3. Young MP, Gooder VJ, McBride K, James B, Fisher ES. Inpatient transfers to the intensive care unit: delays are associated with increased mortality and morbidity. J Gen Intern Med 2003;18:77–83.
4. Franklin C, Mathew J. Developing strategies to prevent inhospital cardiac arrest: analyzing responses of physicians and nurses in the hours before the event. Crit Care Med 1994;22:244–247.
5. Azoulay E, Recher C, Alberti C, et al. Changing use of intensive care for hematological patients: the example of multiple myeloma. Intensive Care Med 1999;25:1395–1401.
6. Wise MP, Barnes RA, Baudouin SV, et al. Guidelines on the management and admission to intensive care of critically ill adult patients with haematological malignancy in the UK. Br J Haematol 2015;171:179–188.
7. van Galen LS, Struik PW, Driesen BE, et al. Delayed recognition of deterioration of patients in general wards is mostly caused by human related monitoring failures: a root cause analysis of unplanned ICU admissions. PLoS One 2016;11e0161393.
8. McNeill G, Bryden D. Do either early warning systems or emergency response teams improve hospital patient survival? A systematic review. Resuscitation 2013;84:1652–1667.
9. DeVita MA, Braithwaite RS, Mahidhara R, et al. Use of medical emergency team responses to reduce hospital cardiopulmonary arrests. Qual Saf Health Care 2004;13:251–254.
10. Lee JR, Choi HR. Validation of a modified early warning score to predict ICU transfer for patients with severe sepsis or septic shock on general wards. J Korean Acad Nurs 2014;44:219–227.
11. Subbe CP, Kruger M, Rutherford P, Gemmel L. Validation of a modified early warning score in medical admissions. QJM 2001;94:521–526.
12. Burch VC, Tarr G, Morroni C. Modified early warning score predicts the need for hospital admission and inhospital mortality. Emerg Med J 2008;25:674–678.
13. Mapp ID, Davis LL, Krowchuk H. Prevention of unplanned intensive care unit admissions and hospital mortality by early warning systems. Dimens Crit Care Nurs 2013;32:300–309.
14. Gardner-Thorpe J, Love N, Wrightson J, Walsh S, Keeling N. The value of modified early warning score (MEWS) in surgical in-patients: a prospective observational study. Ann R Coll Surg Engl 2006;88:571–575.
15. Centre for Clinical Practice at NICE. Acutely Ill Patients in Hospital: Recognition of and Response to Acute Illness in Adults in Hospital. London (UK): National Institute for Health and Clinical Excellence; 2007. [cited 2019 Nov 26]. Available from: http://www.ncbi.nlm.nih.gov/books/NBK45947/.
16. Gao H, McDonnell A, Harrison DA, et al. Systematic review and evaluation of physiological track and trigger warning systems for identifying at-risk patients on the ward. Intensive Care Med 2007;33:667–679.
17. Jansen JO, Cuthbertson BH. Detecting critical illness outside the ICU: the role of track and trigger systems. Curr Opin Crit Care 2010;16:184–190.
18. Huh JW, Lim CM, Koh Y, et al. Activation of a medical emergency team using an electronic medical recording- based screening system. Crit Care Med 2014;42:801–808.
19. Oken MM, Creech RH, Tormey DC, et al. Toxicity and response criteria of the Eastern Cooperative Oncology Group. Am J Clin Oncol 1982;5:649–655.
20. Singer M, Deutschman CS, Seymour CW, et al. The third International Consensus definitions for sepsis and septic shock (Sepsis-3). JAMA 2016;315:801–810.
21. Vincent JL, Moreno R, Takala J, et al. The SOFA (sepsis-related organ failure assessment) score to describe organ dysfunction/failure. On behalf of the Working Group on Sepsis-Related Problems of the European Society of Intensive Care Medicine. Intensive Care Med 1996;22:707–710.
22. Rice TW, Wheeler AP, Bernard GR, et al. Comparison of the SpO2/FIO2 ratio and the PaO2/FIO2 ratio in patients with acute lung injury or ARDS. Chest 2007;132:410–417.
23. Hanley JA, McNeil BJ. The meaning and use of the area under a receiver operating characteristic (ROC) curve. Radiology 1982;143:29–36.
24. Kroschinsky F, Weise M, Illmer T, et al. Outcome and prognostic features of intensive care unit treatment in patients with hematological malignancies. Intensive Care Med 2002;28:1294–1300.
25. Azoulay E, Mokart D, Pene F, et al. Outcomes of critically ill patients with hematologic malignancies: prospective multicenter data from France and Belgium. J Clin Oncol 2013;31:2810–2818.
26. Bokhari SW, Munir T, Memon S, Byrne JL, Russell NH, Beed M. Impact of critical care reconfiguration and trackand-trigger outreach team intervention on outcomes of haematology patients requiring intensive care admission. Ann Hematol 2010;89:505–512.
27. Cornish M, Butler MB, Green RS. Predictors of poor outcomes in critically ill adults with hematologic malignancy. Can Respir J 2016;2016:9431385.
28. Gruson D, Vargas F, Hilbert G, et al. Predictive factors of intensive care unit admission in patients with haematological malignancies and pneumonia. Intensive Care Med 2004;30:965–971.
29. Hampshire PA, Welch CA, McCrossan LA, Francis K, Harrison DA. Admission factors associated with hospital mortality in patients with haematological malignancy admitted to UK adult, general critical care units: a secondary analysis of the ICNARC Case Mix Programme Database. Crit Care 2009;13:R137.
30. Sanz F, Dean N, Dickerson J, et al. Accuracy of PaO2/FiO2 calculated from SpO2 for severity assessment in ED patients with pneumonia. Respirology 2015;20:813–818.
31. Mulligan A. Validation of a physiological track and trigger score to identify developing critical illness in haematology patients. Intensive Crit Care Nurs 2010;26:196–206.
32. Morgan RJM, Williams F, Wright MM. An early warning score for the early detection of patients with impending illness. Clin Intensive Care 1997;8:100.
33. Cooksley T, Kitlowski E, Haji-Michael P. Effectiveness of modified early warning score in predicting outcomes in oncology patients. QJM 2012;105:1083–1088.
34. Palmisano JM, Moler FW, Galura C, Gordon M, Custer JR. Influence of tidal volume, respiratory rate, and supplemental oxygen flow on delivered oxygen fraction using a mouth to mask ventilation device. J Emerg Med 1993;11:685–689.

Article information Continued

Figure 1.

Study flow chart. MET, medical emergency team; NFR, not for resuscitation.

Figure 2.

The receiver operator characteristic curves of modified early warning score (MEWS) and MEWS plus SpO2/FiO2 to predict intensive care unit admission after medical emergency team activation (SpO2/FiO2 scores of 0 points for > 315, 2 points for ≤ 315 SpO2/FiO2 ratio < 235, 3 points for ≤ 235). (A) Derivation cohort. (B) Validation cohort. AUC, area under the curve; CI, confidence interval; SF score, SpO2/FiO2 score.

Figure 3.

The receiver operator characteristic curves of modified early warning score (MEWS) and MEWS plus SpO2/FiO2 to predict in-hospital mortality after medical emergency team activation (SpO2/FiO2 scores of 0 points for > 315, 2 points for ≤ 315 SpO2/FiO2 ratio < 235, 3 points for ≤ 235). (A) Derivation cohort. (B) Validation cohort. AUC, area under the curve; CI, confidence interval; SF score, SpO2/FiO2 score.

Table 1.

Baseline characteristic at admission in derivation and validation cohorts

Characteristic Derivation cohort (n = 220) Validation cohort (n = 320) p
Age, yr 54 (42–63) 56 (45–65) 0.051
Male sex 135 (61.4) 197 (61.6) 1.000
Underlying malignancy
 Acute myeloid leukemia 91 (41.3) 118 (36.9) 0.098
 Acute lymphoblastic leukemia 36 (16.4) 44 (13.8) 0.619
 Chronic myeloid leukemia 1 (0.5) 4 (1.3) 0.653
 Chronic lymphoblastic leukemia 5 (2.3) 0 0.011
 Lymphoma 52 (23.6) 86 (26.8) 0.182
 Myeloma 10 (4.5) 25 (7.8) 0.156
 Aplastic anemia 6 (2.7) 6 (1.9) 0.765
 Myelodysplasia 19 (8.7) 37 (11.6) 0.316
Comorbidity
 Chronic lung disease 5 (2.3) 9 (2.8) 0.788
 Chronic heart disease 58 (26.4) 61 (19.1) 0.052
 Chronic renal disease 4 (1.8) 8 (2.5) 0.769
 Chronic liver disease 13 (5.9) 13 (4.1) 0.414
 Cerebral vascular disease 14 (6.4) 14 (4.4) 0.055
Disease status at admission
 Newly diagnosis 48 (21.8) 54 (16.9) 0.179
 Relapsed/refractory 141 (64.1) 213 (66.6) 0.581
 Partial remission 4 (1.8) 16 (5.0) 0.064
 Complete remission 28 (12.7) 37 (11.6) 0.688
BMT/HSCT recipient 91 (41.4) 116 (36.2) 0.242
 Autologous 16 (7.3) 23 (8.1) 0.482
 Allogeneic 75 (34.1) 90 (28.1) 0.172
 GVHD 31 (14.1) 30 (9.4) 0.098
Reason for admission 0.301
 Scheduled treatment 156 (70.9) 213 (66.6)
 Acute event 64 (29.1) 107 (33.4)
ECOGa performance status, grade < 0.001
 0 38 (17.3) 88 (27.5) 0.007
 1 56 (25.5) 75 (23.4) 0.610
 2 99 (45.0) 90 (28.1) < 0.001
 3 27 (12.3) 55 (17.2) 0.143
 4 0 12 (3.8) 0.002

Values are presented as median (interquartile range) or number (%).

BMT, bone marrow transplantation; HSCT, hematopoietic stem cell transplantation; GVHD, graft versus host disease; ECOG, Eastern Cooperative Oncology Group.

a

Grade 0, fully active, grade 1 restricted in physically strenuous activity but ambulatory and able to carry out work of a light; grade 2, ambulatory and capable of all self care but unable to carry out any work activities; grade 3, capable of only limited self care, confined to bed or chair more than 50% of walking hours; grade 4, completely disabled. Totally confined to bed or chair.

Table 2.

Characteristic and outcomes activated medical emergency team in derivation and validation cohorts

Characteristic Derivation cohort (n = 220) Validation cohort (n = 320) p value
Major reasons for MET contact
 Respiratory distress 122 (55.5) 178 (55.6) 1.000
 Sepsis/septic shock 59 (26.8) 65 (20.3) 0.095
 Hypovolemic shock 7 (3.2) 10 (3.1) 1.000
 Altered mental status 10 (4.5) 21 (6.6) 0.353
 Metabolic acidosis 14 (6.4) 21 (6.6) 0.858
 Others 8 (3.6) 25 (7.8) 0.104
Systolic blood pressure, mmHg 109 (88–131) 112 (88–140) 0.546
Heart rate, beats/min 123 (106–138) 120 (104–135) 0.207
Respiratory rate, breath/min 28 (24–32) 28 (22–34) 0.304
Body temperature, °C 37.4 (36.6–38.2) 37.5 (36.6–38.2) 0.989
Mental status (AVPU scale)
 Alert 164 (74.5) 219 (68.4) 0.148
 Verbal 23 (10.5) 19 (5.9) 0.071
 Pain 12 (5.5) 34 (10.6) 0.051
 Unresponsive 21 (9.5) 48 (15.0) 0.067
SpO2, % 96 (92–98) 96 (93–98) 0.454
Laboratory at MET contact
 Lactic acid, mmoL/L 2.6 (1.7–4.7) 2.2 (1.4–3.7) 0.104
 Neutropeniaa 95 (43.2) 83 (37.2) 0.209
Modified early warning score 6 (4–7) 6 (4–7) 0.208
SpO2/FiO2 ratio 297 (204–438) 270 (194–428) 0.216
SpO2/FiO2 scoreb 2 (0–3) 2 (0–3) 0.366
qSOFA score 1 (1–2) 1 (1–2) 0.141
SOFA score 6 (5–8) 6 (4–8) 0.376
ICU admission 103 (46.8) 162 (50.6) 0.431
NFR after MET activation 51 (23.2) 130 (40.6) < 0.001
In-hospital mortality 114 (51.8) 169 (52.8) 0.861

Values are presented as number (%) or median (interquartile range).

MET, medical emergency team; AVPU, alert, verbal, pain, unresponsive; qSOFA, quick sequential organ failure assessment; SOFA, sequential organ failure assessment; ICU, intensive care unit; NFR, not for resuscitation.

a

Neutropenia, absolute neutrophil count < 500/μL.

b

SpO2/FiO2 score, 0 points for > 315, 2 points for ≤ 315 SpO2/FiO2 ratio < 235, 3 points for ≤ 235.

Table 3.

Multivariate analyses for intensive care unit admission in derivation cohort and validation cohort

Variable Derivation cohorta
Validation cohortb
OR (95% CI) OR (95% CI)
SpO2/FiO2 scorec 2.11 (1.47–3.02)d 2.20 (1.64–3.00)d
MEWS 2.20 (1.67–2.78)d 1.70 (1.40–2.10)d

Adjusted for age, sex, comorbidity, underlying malignancies, disease status at admission, bone marrow transplantation/hematopoietic stem cell transplantation recipient, performance status, sequential organ failure assessment (SOFA) score, quick sequential organ failure assessment (qSOFA) score and major reason for medical emergency team (MET) activation. Performance status and major reason for MET activation.

OR, odds ratio; CI, confidence interval; MEWS, modified early warning score.

a

Hosmer Lemishow test (p = 0.377).

b

Hosmer Lemishow test (p = 0.326).

c

SpO2/FiO2 score, 0 points for > 315, 2 points for ≤ 315 SpO2/FiO2 ratio < 235, 3 points for ≤ 235.

d

(p < 0.001.

Table 4.

Multivariate analyses for in-hospital mortality in derivation cohort and validation cohort

Variable Derivation cohorta
Validation cohortb
OR (95% CI) OR (95% CI)
SpO2/FiO2 scorec 2.01 (1.48–2.72)d 2.01 (1.49–2.72)d
MEWS 1.50 (1.24–1.81)d 1.51 (1.23–1.85)d

Adjusted for age, gender, comorbidity, underlying malignancies, disease status at admission, bone marrow transplantation/hematopoietic stem cell transplantation recipient, performance status, sequential organ failure assessment (SOFA) score, quick sequential organ failure assessment (qSOFA) score, major reason for medical emergency team (MET) activation and not for resuscitation after MET activation.

OR, odds ratio; CI, confidence interval; MEWS, modified early warning score.

a

Hosmer Lemishow test (p = 0.521).

b

Hosmer Lemishow test (p = 0.295).

c

SpO2/FiO2 score, 0 points for > 315, 2 points for ≤ 315 SpO2/FiO2 ratio < 235, 3 points for ≤ 235.

d

(p < 0.001.

Table 5.

Sensitivity and specificity according to cutoff of risk score for intensive care unit admission in derivation and validation cohort

Score Derivation cohort
Validation cohort
Cut-off Sensitivity, % Specificity, % PPV, % NPV, % Sensitivity, % Specificity, % PPV, % NPV, %
MEWS 5 90.3 50.4 61.6 85.5 84.5 41.1 59.6 72.2
6 77.7 74.4 72.7 79.1 67.9 60.1 63.6 64.6
7 52.4 88.9 80.6 68.0 51.9 81.6 74.3 62.3
MEWS_ SF score 6 92.2 59.0 66.4 89.6 90.7 38.6 60.2 80.3
7 83.5 80.3 79.0 84.7 85.2 65.2 71.5 81.1
8 59.2 89.7 83.6 71.4 71.0 81.6 79.9 73.3

PPV, positive predictive value; NPV, negative predictive value; MEWS, modified early warning score; SF, SpO2/FiO2.

Table 6.

Sensitivity and specificity according to cutoff of risk score for in-hospital mortality in derivation and validation cohort

Score Derivation cohort
Validation cohort
Cut-off Sensitivity, % Specificity, % PPV, % NPV, % Sensitivity, % Specificity, % PPV, % NPV, %
MEWS 5 77.2 40.6 58.3 62.3 85.8 43.7 63.0 73.3
6 70.2 71.7 72.7 69.1 62.1 55.0 60.7 56.5
7 46.5 85.8 77.9 59.8 36.7 66.2 54.9 48.3
MEWS_ SF score 6 99.1 36.8 62.8 97.5 100.0 25.2 64.7 59.9
7 71.9 60.4 66.1 66.7 80.5 62.3 70.5 74.0
8 57.9 71.7 68.8 61.3 37.9 51.6 27.1 63.6

PPV, positive predictive value; NPV, negative predictive value; MEWS, modified early warning score; SF, SpO2/FiO2.