Association between body mass index and survival after hematopoietic stem cell transplantation
Article information
Abstract
Background/Aims
The unclear relationship between body mass index (BMI) and post-hematopoietic stem cell transplantation (HSCT) mortality was investigated, including the impact of metabolic diseases.
Methods
This retrospective study conducted at a Korean tertiary hospital (2009–2021) included patients who underwent HSCT. Patients were categorized as underweight (BMI < 18.5 kg/m2, n = 106), normal (BMI 18.5–22.9 kg/m2, n = 1,345), overweight (BMI 23.0–24.9 kg/m2, n = 980), or obese (BMI ≥ 25.0 kg/m2, n = 1,471). Diabetes mellitus (DM), hypertension, and dyslipidemia were identified by disease codes or medication prescriptions. A Cox proportional hazards model was used to analyze mortality risks.
Results
Over 108 months, 29.8% (1,164/3,902) of the participants died. Patients with underweight had significantly higher mortality (adjusted HR 1.76, 95% CI 1.29–2.40, p < 0.001) than in those with normal BMI. Patients with overweight and obesity did not show increased mortality. Post-HSCT, DM significantly raised mortality risk (HR 3.36, 95% CI 2.86–3.94, p < 0.001), whereas newly diagnosed dyslipidemia was associated with lower mortality (HR 0.27, 95% CI 0.23–0.33, p < 0.001). Post-transplant hypertension had no significant impact on mortality (HR 1.10, 95% CI 0.95–1.28, p = 0.184).
Conclusions
Post-HSCT, obesity is not a prognostic factor for poor survival; however, certain metabolic diseases have diverse effects on mortality.
INTRODUCTION
Obesity is becoming increasingly prevalent worldwide, including in South Korea [1,2], and is associated with higher risks of chronic diseases, such as cardiovascular disease, diabetes mellitus (DM), and cancer, as well as overall mortality [1,3,4]. Conversely, some studies have shown that obesity is associated with a survival advantage in several disease subgroups [5,6]. Recently, the relationship between preoperative body mass index (BMI) and survival in patients with solid organ tumors in South Korea was examined, and survival was higher among patients with higher BMI than in those with a lower BMI, suggesting a paradox regarding the effects of obesity [7].
Hematopoietic stem cell transplantation (HSCT) is a key treatment for hematologic malignancies such as leukemia, lymphoma, and multiple myeloma [8]. However, it carries significant risks, including infections, immune complications such as graft-versus-host disease (GVHD), and toxicities related to the treatment regimen. The likelihood of these complications is influenced by patient-related factors (age, sex, cardiovascular or metabolic diseases), transplantation specifics (donor characteristics, intensity of conditioning regimen, GVHD prophylaxis), and aspects of the underlying malignant disease and its treatment [9].
Among these risk factors, obesity may affect HSCT outcomes, but these findings remain controversial. Several Japanese studies have reported that patients with underweight or those with low BMI showed poor overall survival (OS) [10,11], while a recent meta-analysis also reported that lower BMI was associated with poorer OS after allogeneic HSCT [12,13]. Conversely, obesity or high BMI has been associated with poor OS after HSCT [14]. However, most of these investigations featured small sample populations with short follow-up durations and did not analyze metabolic disease profiles.
A study involving a large population and an extended follow-up is needed to better understand the relationship between BMI and survival in patients who have undergone HSCT. Thus, in this study, we analyzed survival outcomes in patients with hematological malignancies treated with allogeneic or autologous HSCT, considering BMI and related metabolic disease profiles.
METHODS
Study population
In this retrospective study, we analyzed the data of patients who underwent HSCT at Seoul St. Mary’s Hospital in South Korea between April 2009 and September 2021. Electronic medical records (EMRs) were used for data collection. Among the 6,017 patients, 3,902 were included after excluding those without survival data (n = 82), height and weight data (n = 939), children or adolescents under the age of 18 at the time of transplantation (n = 512), those with non-hematologic malignancies (n = 295), and those who underwent secondary or tertiary HSCT (n = 287).
The study population was divided into four groups based on BMI, which was calculated as weight divided by height squared (kg/m2). According to the guidelines of the Korean Society for the Study of Obesity, a BMI of less than 18.5 kg/m2 was defined as underweight, 18.5–22.9 kg/m2 as normal, 23.0–24.9 kg/m2 as overweight, and 25.0 kg/m2 or more as obese [15].
Measurements and definitions
Height and weight data, as well as fasting serum glucose, aspartate transaminase (AST), alanine transaminase (ALT), total cholesterol (TC), triglyceride (TG), high-density lipoprotein (HDL) cholesterol, and low-density lipoprotein (LDL) cholesterol levels were collected within a week before HSCT.
DM was diagnosed as at least one claim with International Classification of Disease, tenth edition (ICD-10) codes E11–E14 and a prescription for antidiabetic medication [16]. Hypertension (HTN) was defined as at least one claim with ICD-10 codes I10–I13 or I15 and a prescription for an antihypertensive agent. Dyslipidemia was defined as at least one claim with ICD-10 code E78 and a prescription for a lipid-lowering agent. The date of diagnosis for each disease was defined as the first day on which the ICD-10 code was recorded or the date of the first medication prescription.
The nutritional risk index (NRI) was used to predict postoperative outcomes or survival after chemotherapy. The NRI was calculated as follows: 1.519 × serum albumin level (g/L) + 41.7 × (present/ideal body weight) [17,18]. The ideal body weight was calculated as follows: Height - 100 - [(Height - 150)/2.5]. Following previous literature, the cutoff NRI used to define malnutrition was set at 98 [11].
Data protection and privacy
Data privacy was ensured through anonymization and encryption, making patient re-identification impossible. Ethical approval was obtained, and the requirement for informed consent was waived owing to the retrospective nature of the study. This study adhered to the tenets of the Declaration of Helsinki and was approved by the Catholic University Data Review Committee and Institutional Review Board of The Catholic University of Korea (approval number: KC23RASI0174).
Statistical analysis
Statistical analyses included mean ± standard deviation and percentages for baseline characteristics, using analysis of variance and chi-square tests for continuous and categorical variables, respectively. The Kaplan–Meier method, log-rank test, and post hoc sensitivity analysis were used to assess mortality. Landmark analysis was corrected for time bias. Cox models were used for univariate and multivariate analyses, including variables with p < 0.10 in univariate analyses and specific variables of interest. Subgroup analyses considered hematologic disease type, transplantation method, and metabolic diseases. Analyses were performed using R version 4.2.2 (R Project for Statistical Computing, Vienna, Austria). Hazard ratios (HRs) are reported with 95% confidence intervals (CIs). Statistical significance was set at p < 0.05.
RESULTS
Baseline characteristics
Table 1 summarizes the baseline characteristics of the patients based on BMI categories. These categories include underweight (BMI < 18.5 kg/m2, n = 106), normal (BMI 18.5–22.9 kg/m2, n = 1,345), overweight (BMI 23.0–24.9 kg/m2, n = 980), and obesity (BMI ≥ 25.0 kg/m2, n = 1,471). With increasing BMI, mean age, proportion of male, and NRI scores increased significantly (p < 0.001). Comorbidities such as DM, HTN, and dyslipidemia varied across BMI groups (p = 0.008 for DM, p < 0.001 for HTN and dyslipidemia), particularly before HSCT. The distribution of hematologic diagnoses was also significantly different across BMI categories, with a higher prevalence of acute lymphoblastic leukemia (ALL), acute myeloid leukemia (AML), and myelodysplastic syndrome (MDS)/myeloproliferative neoplasm (MPN) in the lower BMI groups and a higher prevalence of plasma cell disorders and lymphoma in the higher BMI groups. The distribution of the types of transplantation was also significantly different across BMI categories, with the BMI ≥ 25.0 kg/m2 category showing the highest percentage of patients receiving an autologous transplant. AST, ALT, TC, and TG levels increased with higher BMI, whereas HDL cholesterol decreased and LDL cholesterol increased.
Association between BMI categories and post-HSCT mortality
The mean follow-up period was 108 months (95% CI 106–110). A total of 1,164 deaths (29.8%) occurred in the study population of 3,902. Significant differences were observed in the survival rates for each BMI group (log-rank p = 0.023) (Fig. 1A). The normal BMI group had a 5-year survival rate of 68.3% and 10-year survival rate of 65.9%. The underweight group (BMI < 18.5 kg/m2) had lower 5-year (56.7%) and 10-year (50.8%) survival rates. In the BMI 23.0–24.9 kg/m2 group, the 5-year survival rate was 68.6%, and the 10-year survival rate was 63.3%. In the BMI ≥ 25.0 kg/m2 group, the 5-year survival rate was 69.2%, and the 10-year survival rate was 62.6%. Post hoc analysis revealed a difference in survival rate between the normal BMI group and the BMI < 18.5 kg/m2 group but not between the normal BMI group and any other groups (p for normal BMI and BMI < 18.5 kg/m2, 0.001; p for normal BMI and BMI 23.0–24.9 kg/m2, BMI ≥ 25.0 kg/m2; 0.971, 0.602, respectively). After adjusting for several confounding factors, including age, sex, diagnosis, transplantation type, underlying DM, HTN, and dyslipidemia, the Cox proportional hazards model analysis showed that individuals with underweight (BMI < 18.5 kg/m2) had a significantly higher risk of death than in those with a normal BMI (adjusted HR 1.76, p < 0.001). In contrast, individuals with a BMI between 23.0 and 24.9 kg/m2 (p = 0.904) or above 25.0 kg/m2 (p = 0.688) did not have a significantly different risk value than in those with a normal BMI (Table 2). Based on the univariate analysis, age was not significantly associated with the risk of death (HR 1.00, p = 0.267), whereas male sex was associated with a significantly increased risk of death (HR 1.14, p = 0.031).

Association between BMI categories and mortality after HSCT. (A) Kaplan–Meier survival curves according to BMI category. (B) Kaplan–Meier survival curves according to BMI category, including only patients who survived at least 12 months after HSCT. BMI, body mass index; HSCT, hematopoietic stem cell transplantation.
When only considering patients who survived more than 12 months after HSCT, the difference in survival rate based on BMI disappeared (log-rank p = 0.237) (Fig. 1B). The 5-year survival rates with 95% CIs of the normal BMI, BMI < 18.5 kg/m2, BMI 23.0–24.9 kg/m2, and BMI ≥ 25.0 kg/m2 groups were 84.1% (81.6–86.7%), 85.0% (75.7–95.4%), 82.0% (79.0–85.1%), and 81.6% (78.9–84.3%), respectively.
Association between NRI and post-HSCT mortality
Patients with an NRI score lower than 98 had a significantly lower survival rate than patients with an NRI score higher than 98 (p = 0.004). The 5-year survival rate of patients with malnutrition was 63.0%, whereas that of patients with sufficient nutrition was 69.8%. The HR for mortality in the malnutrition group was 1.23 (Fig. 2A). When patients with a survival duration under 12 months were excluded, the mortality difference according to the NRI score disappeared (p = 0.075) (Fig. 2B).

Mortality risks after HSCT according to NRI score. (A) Kaplan–Meier survival curves according to the NRI score. (B) Kaplan–Meier survival curves according to the NRI score, including only patients who survived at least 12 months after HSCT. HSCT, hematopoietic stem cell transplantation; NRI, nutritional risk index; HR, hazard ratio; CI, confidence interval.
Association between BMI categories and post-HSCT mortality in subgroups
The survival risk ratios for BMI subgroups compared with those of the normal BMI group were calculated in subgroups according to the transplantation type and diagnosis of hematological malignancies, specifically among allogeneic HSCT, autologous HSCT, AML, ALL, plasma cell dyscrasia, lymphoma, and others, including MDS and MPN (Table 3). In autologous and allogeneic HSCT subgroups, the BMI < 18.5 kg/m2 group showed a significantly higher risk of mortality, with HRs of 1.49 (95% CI 1.06–2.08, p = 0.021) and 2.20 (95% CI 1.02–4.77, p = 0.045), respectively, whereas the two higher BMI subgroups (BMI 23.0–24.9 kg/m2 and BMI ≥ 25.0 kg/m2) showed no significant differences compared with that of the normal BMI group. In the ALL subgroup, the BMI ≥ 25.0 kg/m2 group showed a higher risk of mortality with an HR of 1.47 (95% CI 1.05–2.05, p = 0.024), whereas the other groups showed no significant differences (p = 0.717 and p = 0.632 for BMI < 18.5 kg/m2 and BMI 23.0–24.9 kg/m2, respectively). After adjusting for confounding factors, this association disappeared (p = 0.146). In the AML subgroup, the BMI < 18.5 kg/m2 group showed a significantly higher risk of mortality with an HR of 2.15 (95% CI 1.36–3.39, p = 0.001), whereas no significant difference was observed in the other two subgroups (p = 0.411 and p = 0.630 for BMI 23.0–24.9 kg/m2 and BMI ≥ 25.0 kg/m2, respectively). Plasma cell dyscrasia, lymphoma, and other subgroup analyses showed no significant differences in mortality risk among the three BMI subgroups. When adjusted for confounding factors, the allogeneic HSCT subgroup showed a significant increase in mortality risk for patients with BMI < 18.5 kg/m2 (HR 2.48, 95% CI 1.14–5.42, p = 0.023). Similarly, in the AML subgroup, BMI < 18.5 kg/m2 was associated with a significantly higher mortality risk after adjustment (HR 1.68, 95% CI 1.06–2.66, p = 0.026). In contrast, other BMI categories within these subgroups and other disease groups (e.g., autologous, ALL, plasma cell dyscrasia, MDS/MPN, and lymphoma) did not demonstrate statistically significant differences in mortality risk after adjustment.
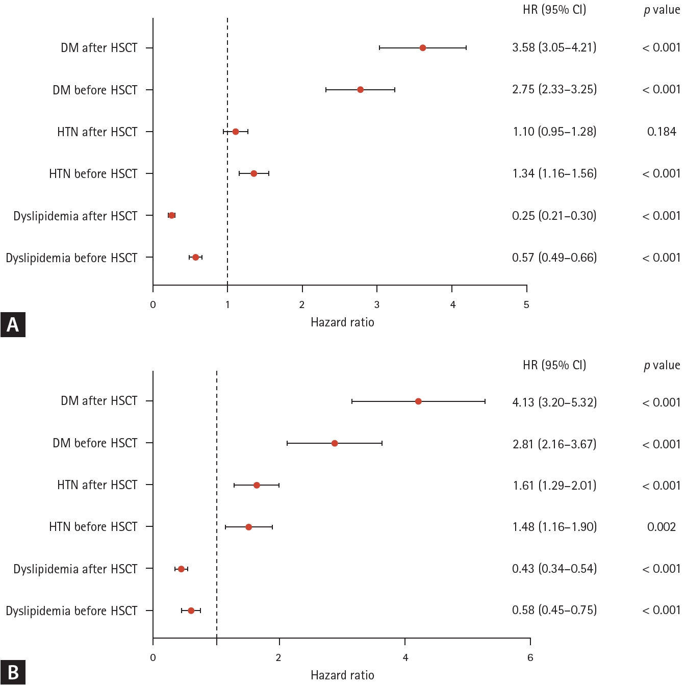
Mortality risks based on metabolic disease profile before and after HSCT
Supplementary Figure 1 shows the Kaplan–Meier survival curves based on the metabolic disease profile and long-term mortality outcomes before and after HSCT. The HRs from the Cox proportional hazards model for overall mortality and the 95% CIs are summarized in Figure 3A.

Mortality risks after HSCT according to metabolic disease profile. (A) Mortality according to metabolic disease profile. (B) Mortality according to metabolic disease profile, including only patients who survived at least 12 months after HSCT. The HR was adjusted for age, sex, BMI, hematologic diagnosis, and transplantation type (allogeneic or autologous). HSCT, hematopoietic stem cell transplantation; HR, hazard ratio; BMI, body mass index; DM, diabetes mellitus; HTN, hypertension; CI, confidence interval.
Individuals with DM, whether it developed after or before HSCT, exhibited significantly elevated mortality risks (HR 3.58, p < 0.001 and HR 2.75, p < 0.001, respectively). Similarly, those with underlying HTN before HSCT demonstrated heightened mortality risks with an HR of 1.34 (p < 0.001). Conversely, individuals with dyslipidemia, developed after or before HSCT, displayed notably reduced mortality risks (HR 0.25, p < 0.001 and HR 0.57, p < 0.001, respectively), compared with the risks of those without dyslipidemia. When the analysis included only patients who survived for more than 12 months, the results were generally similar (Fig. 3B).
DISCUSSION
The study found that patients with a BMI below 18.5 kg/m2 had significantly worse survival outcomes than in those with a normal BMI. Patients with overweight or obesity, with a BMI of 23.0 kg/m2 or more, generally did not show adverse effects. Additionally, patients with pre- or post-HSCT DM or HTN had poorer survival outcomes, whereas those with dyslipidemia had better survival.
Obesity is associated with an increased risk of various cancers, including leukemia [19-21]. In a meta-analysis, obesity was linked to a relative risk of 1.26 for leukemia incidence and a relative risk of 1.29 for mortality [22]. However, some studies have suggested an obesity paradox in which obesity can have neutral or beneficial effects on survival in certain cancers [23]. In a small study (n = 97) of patients with AML, those with a BMI < 25.0 kg/m2 had higher mortality than in those with a BMI ≥ 30.0 kg/m2 (HR 2.14, p < 0.009) [24]. Another study found no association between obesity and clinical outcomes such as complete remission or OS [20]. This obesity paradox extends to patients who have undergone HSCT. A Japanese study revealed that individuals with underweight had worse survival outcomes after allogeneic HSCT than in those with normal BMI, and the underweight group had a higher relapse risk (HR 1.16) and lower OS (HR 1.10, p = 0.018). In contrast, the overweight and obese groups had lower relapse risks (HR 0.86 and 0.74, respectively), suggesting that underweight status is a risk factor for poor OS owing to increased relapse [10]. Although this study included many patients (n = 12,050), the follow-up duration was relatively short (3 years). In another Japanese study with a small population (n = 113), Aoyama et al. [11] showed that a low BMI was a negative factor for survival outcomes after allogeneic HSCT.
The inability of BMI to assess obesity phenotypes, duration, or other clinical conditions raises doubts about its suitability for predicting disease outcomes [23]. Aoyama et al. [11] used the sarcopenia score as measured by a bioelectrical impedance analyzer and the NRI score to evaluate prognosis, finding that sarcopenia and low NRI correlate with poorer prognosis. Our study also showed that the NRI score has potential utility in predicting prognosis. Tentolouris et al. [19] reported a better long-term survival outcome in patients with overweight and plasma cell myeloma. They suggested that the obesity paradox might be due to the larger muscular reserves held by people in the obese BMI category, which can play a protective role. This indicates that relying solely on BMI is insufficient and that factors such as nutritional status and muscle reserves should also be considered.
Subgroup analyses revealed that higher BMI was associated with increased mortality only in patients with ALL. In a retrospective study of 416 patients with ALL aged 18–45 years, severe obesity was associated with a 3-fold increase in relapse and a reduction in event-free survival. The authors assumed that this poorer outcome is due to undertreatment because of the fear of overtreatment [25]. When using myelotoxic anticancer drugs, it can be assumed that patients with underweight may have a higher risk of infection or toxicity. In the case of the ALL group, where lymphotoxic anticancer drugs are used, there is less bone marrow destruction, but more steroids are used, which may contribute to an increased risk of obesity [26,27]. Future research should examine chemotherapy regimens and doses according to BMI and relevant outcomes.
Although the number of patients in the BMI < 18.5 kg/m2 group was relatively small (106 patients), this group included a higher proportion of patients with diseases associated with a poor prognosis, such as AML, ALL, and MDS/MPN, which typically have higher therapy-related or disease progression-related mortality than that in lymphoma or multiple myeloma [28]. Furthermore, these patients were more likely to have undergone allogeneic HSCT, which is generally associated with a higher risk of mortality than autologous HSCT [29]. These factors can explain, at least in part, the higher mortality observed in the BMI < 18.5 kg/m2 group. However, the same trend was observed when the cohort was divided into the allogeneic and autologous HSCT groups. Within each transplant type, patients with BMI < 18.5 kg/m2 still exhibited higher mortality. Notably, this association remained significant among allogeneic HSCT recipients even after adjusting for confounding factors, suggesting that a low BMI itself may be an independent predictor of poor survival outcomes, irrespective of the underlying disease or transplant type.
Our study found that a low BMI was linked to increased overall mortality post-HSCT, particularly in the early stages, but not in long-term survival after 12 months. This observation suggests that an underweight status may primarily influence early mortality rather than late post-HSCT outcomes. Although the exact mechanism remains unclear, long-term survival after HSCT is largely determined by factors such as GVHD and relapse of the underlying malignancy [26]. Therefore, the impact of low BMI on early mortality may not be directly related to immunologic complications or tumor behavior but may involve the metabolism of chemotherapeutic agents [26]. Evidence from a retrospective study of 71 patients suggested that BMI is negatively correlated with the severity of chemotherapy-related toxicities, including mucositis, cardiotoxicity, emesis, and hyperglycemia [26]. Additionally, poor nutritional status may lead to decreased plasma protein levels and glomerular filtration rates, resulting in increased free drug concentrations and reduced antioxidant capacity, potentially exacerbating cytotoxic effects in patients with underweight [30]. However, this hypothesis is based on existing literature, and further studies are necessary to confirm the exact role of chemotherapy metabolism in early post-HSCT mortality among patients with underweight.
Our study revealed significant variations in metabolic diseases, especially DM, across the BMI categories. Although the literature suggests a high incidence of DM, impaired glucose tolerance, and insulin resistance (IR) post-HSCT, factors such as total body irradiation, prolonged steroid use, and specific immunosuppressive agents also contribute to the development of DM [31,32]. Prior studies have implied that BMI may not solely predict diabetes post-HSCT [33]. Our findings align with earlier research showing poorer survival outcomes in post-HSCT patients with DM, emphasizing the need for proactive pre-transplantation blood glucose management to improve survival.
IR and DM can also induce fat metabolism abnormality and dyslipidemia [31,34]. Factors contributing to post-HSCT dyslipidemia include immunosuppressive agents, GVHD, intestinal microflora, and hormonal imbalance [31]. Although the exact mechanism is unclear, dyslipidemia is a common complication after HSCT. In a large retrospective cohort study from Switzerland, high prevalences of dyslipidemia at 3 months after HSCT were found (62% for autologous HSCT and 74% for allogeneic HSCT). Conversely, a BMI over 30.0 kg/m2 was found to be a strong risk factor for the development of dyslipidemia [35]. Moreover, in our study, a higher BMI was associated with high dyslipidemia and reduced mortality risk. We theoretically suggest that dyslipidemia itself is not an adverse risk factor for poor survival outcomes after HSCT; however, the use of statins may be associated with unexpectedly good survival outcomes. Although the mechanisms and effects of statins are not well understood, several studies have suggested that statins have immunomodulatory effects, including reduction of GVHD and enhancement of the response to chemotherapy [36,37]. In a phase II study, daily administration of atorvastatin 40 mg for 11–28 days before cell harvest reduced the incidence of acute GVHD [38]. It also appears important in reducing cardiovascular diseases, mainly affecting long-term non-relapse mortality [36]. However, this remains a hypothesis, and further studies are necessary to validate the association between statin use and improved survival outcomes. Prospective studies controlling for statin use and its potential confounding effects on survival outcomes are needed to better elucidate this relationship.
This study has several limitations. As a retrospective study, it can only demonstrate correlations and not causation. Furthermore, caution is needed when interpreting the findings as the study population comprised patients with severe systemic illnesses undergoing specialized treatments, which may limit generalizability. Nevertheless, our findings suggest that nutritional status, as represented by BMI rather than by BMI itself, may play a more critical role in influencing outcomes. Key data for mortality risk assessment, such as cancer therapy details and laboratory results (insulin and C-peptide levels), were not analyzed. The specific causes of death, including cardiovascular or relapse-related deaths, could not be determined. Additionally, defining metabolic diseases based solely on medication use may introduce a potential bias influenced by varying physician practices, particularly in the initiation of statin therapy. This could have affected the interpretation of survival outcomes in patients with dyslipidemia. Future studies should focus on analyzing the causes of mortality, such as malignancy-specific and cardiovascular deaths, to provide a clearer understanding of the underlying factors contributing to the observed outcomes. Lastly, there may be some debate regarding the timing of the BMI measurements in this study (within a week before HSCT). Given that the treatments and medications administered before and after transplantation can significantly influence BMI and nutritional status, evaluating serial changes in BMI throughout the treatment course may provide a more accurate reflection of the overall health and nutritional condition of the patients. For instance, analyzing BMI changes at the time of hematologic malignancy diagnosis, before and after induction chemotherapy, and their association with patient outcomes can yield meaningful insights. Previous studies have also demonstrated such associations. Ando et al. [39] showed that changes in BMI during AML treatment, particularly reductions in BMI after induction chemotherapy, were significantly associated with patient OS. However, we could not perform these analyses because of the limitations of EMRs and data extraction in this study. Therefore, a well-designed prospective study with a larger sample size is recommended to address these biases.
In summary, this study suggests that a BMI < 18.5 kg/m2 is linked to worse survival outcomes, especially early mortality, after HSCT. Patients with metabolic diseases such as DM or HTN have poorer survival outcomes. Dyslipidemia was unexpectedly associated with better survival, possibly because of statin use. Managing metabolic diseases in post-HSCT patients is crucial, but further research is needed to fully understand the BMI-mortality relationship and optimize management strategies.
KEY MESSAGE
1. A BMI below 18.5 kg/m2 is an independent risk factor for increased early mortality after HSCT.
2. Obesity was not associated with poorer outcomes, indicating BMI alone may not be a sufficient prognostic marker.
3. Post-HSCT metabolic diseases, especially diabetes and dyslipidemia, significantly influenced survival in opposite directions.
Notes
Acknowledgments
A portion of this study was presented in abstract form at the 57th Annual Spring Conference of the KSSO (Korean Society for the Study of Obesity), held from March 17, 2023, to March 18, 2023, in Seoul, Korea.
CRedit authorship contributions
Han-Sang Baek: conceptualization, methodology, resources, investigation, data curation, formal analysis, software, writing - original draft, visualization, project administration; Jong Hyuk Lee: resources, investigation, writing - review & editing, project administration; Joonyub Lee: investigation, project administration; Seung-Hwan Lee: writing - review & editing, supervision; Gi June Min: resources; Sung-Soo Park: resources; Silvia Park: resources; Sung-Eun Lee: resources; Byung-Sik Cho: resources; Ki-Seong Eom: resources; Yoo-Jin Kim: resources; Seok Lee: resources; Hee-Je Kim: resources; Chang-Ki Min: resources; Seok-Goo Cho: resources; Jong Wook Lee: resources; Jae-Ho Yoon: resources
Conflicts of interest
The authors disclose no conflicts.
Funding
None




