Observation of the Serum Uric Acid in Essential Hypertension
- Yeon Ho Kim, M.D., Yeong Do Suh, M.D., Sung Pyo Son, M.D., Yeong Woong Shim, M.D., Yung Woo Shin, M.D., Yeong Kee Shin, M.D.
- Abstract
-
In order to observe the relationship of hyperuricemia and essential hypertension, we studied serum uric acid in 139 patients with essential hypertension visiting the Department of Internal Medicine, Pusan National University Hospital, between May 1982 and July 1983, and analyzed its values in terms of various clinical and laboratory parameters.The mean concentration of serum uric acid and incidence of hyperuricemia in essential hypertension were 6.60 ± 1.96 mg%, 57.9% and those of the normal control group were 3.87 ± 1.30 mg%, 17.8%, respectively with significantly higher values in the hypertension group. The mean concentration of serum uric acid and the incidence of hyperuricemia were significantly correlated with the levels of diastolic blood pressure, mean arterial pressure, BUN, and serum creatinine. Significant correlation between the mean concentration of serum uric acid and the extent of target organ damage and abnormal urine findings were observed.
- INTRODUCTION
- INTRODUCTION
There have been reports by many authors on the probelm of serum uric acid elevation in hypertensive patients1–7). The explanations of serum uric acid elevation have been that hypertension itself is the cause of hyperuricemia or vice versa and that both may share common etiologic factors8). Despite many theories of serum uric acid elevation, no solely reliable cause has been established, but it could be assumed that serum uric acid elevation is due to renal uric acid transport impairment and so, hyperuricemia is suggested as an indicator of renal damage in hypertension8).We studied serum uric acid in patients of essential hypertension visiting the Department of Internal Medicine, Pusan National University Hospital and analyzed the values in terms of various clinical and laboratory parameters.
- MATERIALS AND METHODS
- MATERIALS AND METHODS
We studied serum uric acid in 139 patients having essential hypertension visiting the Department of Internal Medicine, Pusan National University Hospital and 98 healthy controls, between May, 1982 and July, 1983. In the patient group, there were 79 men and 60 women and in control group 51 and 47 respectively. The mean age was 45.7 (23–48) in the patient group, and 42.4 (21–71) in the control group. The mean systolic blood pressure was 168.4 mmHg (130–220 mmHg) and the mean diastolic blood pressure was 114.5 mmHg (90–145 mmHg) in the patient group.Samples of venous blood were taken in the morning with the subjects fasting for 12 hours and none were taking diuretic medication within the previous one week period.The serum uric acid level was measured by the uricase method, and BUN, serum creatinine levels by the URIEASE/GLDH method and Jaffe method respectively. The cholesterol, triglyceride levels were measured by enzyme method. In the control group, the mean serum uric acid level was 4.03 ± 1.27 mg% in men, and 3.12 ± 1.44 mg% in women (Table 1). We defined hyperuricemia as more than 6.5 mg% in serum uric acid level in men and 6.0 mg% in women. The final analysis was made in terms of relationships between serum uric acid and the level of blood pressure, duration of hypertension, severity of hypertension by WHO classification, urine findings, BUN, creatinine, cholesterol and triglyceride levels in patients with essential hypertension.
- RESULTS
- RESULTS
- Serum uric acid level in essential hypertension
- Serum uric acid level in essential hypertension
The mean serum uric acid was 6.60 ± 1.9 mg% (2.34–22.0 mg%) in the hypertension group and that of the normal control was 3.87 ± 1.30 mg%, which was significantly higher in the hypertension group (p<0.001). The incidence of hyperuricemia was 79 of 139 cases (57.1 %) in the hypertension group and that of the normal group was 17 of 98 cases (17.8%), which was also significantly higher in the hypertension group (p<0.01) (Table 2).- Relationship between the level of blood pressure and serum uric acid concentration
- Relationship between the level of blood pressure and serum uric acid concentration
The analysis was made in terms of the level of blood pressure, dividing two groups into systolic and diastolic blood pressure by the borderline of 170 mmHg and 110 mmHg respectively. The mean serum uric acid level was 6.71 ± 2.21 mg% in the group having systolic blood pressure of more than 170 mmHg, and 6.12 ± 9.7 mg% in that of less than 170 mmHg, and there was no significant difference. The incidence of hyperuricemia was 28 of 39 cases (72%) and 38 of 100 cases (37.8%) respectively and was significantly higher in the former group (p<0.001). In the case of diastolic blood pressure, the mean serum uric acid level was 7.57 ± 2.46 mg% in the group of more than 110 mmHg, and 5.40 ± 1.64 mg% in that of less than 110 mmHg, and there was a significant increase in the higher group (p<0.001). The incidence of hyperuricemia was 35 of 40 cases (87.0%) and 36 of 99 cases (36.5%) respectively and was significantly higher in the former group (p<0.01). And when the group was divided by mean blood pressure (130 mmHg), the mean serum uric acid level was 6.70 ± 2.17 mg% in the group of more than 130 mmHg, and 6.02 ± 1.85 mg% in that of less than 130 mmHg and there was a significant increase in the former group (p<0.05). The incidence of hyperuricemia was 41 of 60 cases (68.1 %) and 38 of 79 cases (48.1 %) respectively and also was significantly higher in the former group (p<0.05) (Table 3a, 3b).- Relationship between target organ damage and serum uric acid concentration
- Relationship between target organ damage and serum uric acid concentration
The mean serum uric acid level in 52 cases of class I WHO classification was 5.40±1.51 mg% and the incidence of hyperuricemia was 21 cases (40.4%). The level in 14 cases of class II was 6.02 ±1.98 mg% and the incidence was 8 cases (57.1 %). And the level in 41 cases of class III was 7.13±2.18mg% and the incidence was 31 cases (75.6%). There were no significant differences between class I and II, class II and III. But, between class I and III, and when class I and II were grouped together for comparision with class III, class III had a significant increase (p<0.01, p<0.001) in mean serum uric acid concentration in both instances, but no significant differences in the incidence of hyperuricemia (Table 4).- Relationship between the duration of hypertension and serum uric acid concentration
- Relationship between the duration of hypertension and serum uric acid concentration
Two groups were divided with the duration having more or less than 5 years of hypertension history. The mean serum uric acid level was 6.28 ± 1.66 mg% in the former group and 6.30 ± 2.07 mg% in the latter group and there was no significant difference between two groups. The incidence of hyperuricemia was 8 of 14 cases (57.4%) and 35 of 61 cases (57.1 %) respectively and there was no significant difference (Table 5).- Relationship between urine findings and serum uric acid concentration
- Relationship between urine findings and serum uric acid concentration
The patients whose urine contained either protein, abnormal number of red cells or casts were defined as abnormal urine finding group. The mean serum uric acid level was 7.02 ± 1.97 mg% in abnormal urine finding group, and 5.83 ± 1.90 mg% in the normal group, and there was a significant increase in the former group (p<0.02). The incidence of hyperuricemia was 14 of 19 cases (74.0%) and 51 of 89 cases (57.3%) respectively and there was no significant difference (Table 6).- Relationship between BUN level and serum uric acid concentration
- Relationship between BUN level and serum uric acid concentration
Two groups were divided arbitrarily, normal and high with the borderline of 20 mg% in BUN concentration. The mean serum uric acid level in the high group was 7.43 ± 2.21 mg% and 6.50 ± 1.94 mg% in normal group, so that the former group had a significant increase (p<0.02). And for the incidence of hyperuricemia, 29 of 37 cases (75.0%) in the higher group and 53 of 102 cases (51.5%) in the normal group respectively, so that there was also a significant increase in the former group (p<0.01). And there was a significant correlation between the BUN level and serum uric acid level (r = 0.240, p<0.02) (Table 7, Fig. 1).- Relationship between serum creatinine and serum uric acid concentration
- Relationship between serum creatinine and serum uric acid concentration
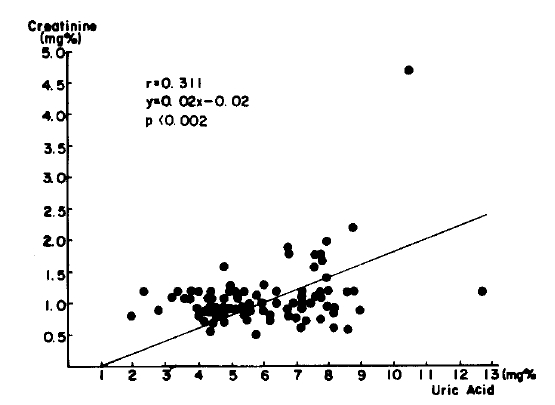
It was divided into high and normal groups with the standard of more or less than 1.5 mg% in creatinine concentration. The mean serum uric acid level was 7.82 ± 1.43 mg% in the former group and 5.91 ± 2.08 mg% in the latter group, so that the former group had a significant increase (p<0.01). As for the incidence of hyperuricemia, 8 of 9 cases (88.9 %) in the former, 49 of 95 cases (51.6 %) in the latter respectively and the difference between the two groups was prominent (p<0.01). There was much more of a close correlation between serum uric acid level and serum creatinine level than BUN level (r = 0.311, p<0.002) (Table 8, Fig. 2).- Relationship between serum cholesterol and serum uric acid concentration
- Relationship between serum cholesterol and serum uric acid concentration
When hypercholesterolemia is defined as having more than 200 mg% of total serum cholesterol, the mean serum uric acid level in the hypercholesterolemia group was 5.97 ± 1.58 mg% and 6.08 ± 1.97 mg% in the normal group, and there was no significant difference between the two groups. The incidence of hyperuricemia was 17 of 39 cases (57.9%) and 48 of 85 cases (56.8%) respectively and no significant difference could be found (Table 9).- Relationship between serum triglyceride and serum uric acid concentration
- Relationship between serum triglyceride and serum uric acid concentration
When hypertriglyceridemia is defined as having more than 150 mg% of serum triglyceride, the mean serum uric acid level in hypertriglyceridemia group was 7.89 ± 2.79 mg% and 7.31 ± 1.57 mg% in the normal group and there was no significant difference between the two groups. The incidence of hyperuricemia was 21 of 24 cases (88.9%) in the former group and 43 of 58 cases (73.7%) in the latter group, and a significant difference could not be found between the two groups (Table 10).
- DISCUSSION
- DISCUSSION
Uric acid is a cellular metabolite of purine, which is influenced by many factors including age, sex, obesity, alcohol abuse, drugs, climate, season and social status.1,2,9–13) The normal value of uric acid concentration is highly variable even in healthy normal person ranging from 4.5 mg% to 6.5 mg% according to examiners and the measuring methods they applied.5,7,14–17 And the incidence of hyperuricemia in healthy adults is also variously reported by different authors from 2 to 18%.1) The mean serum uric acid levels by uricase method in the normal control group we studied were 4.03 ± 1.27 mg% in males and 3.12 ± 1.44 mg% in females and the incidence of hyperuricemia was 17.8%. On the other hand, the mean serum uric acid level and the incidence of hyperuricemia in the patient group was 6.61 ± 1.54mg% in males, 5.84 ± 1.82 mg% in females, 57.1 % respectively, thus significantly higher values were obtained among patients with essential hypertension both in the concentration and incidence. The incidence of hyperuricemia in our study was similar to the reports of other investigators ranging from 40 to 67%.5,6)The mechanism of serum uric acid elevation, as mentioned in the introduction, has not been fully understood, but many explanations have been offered. First, hypertension itself may be the cause of hyperuricemia. Most of the uric acid is excreted by the kidney and Messerli et al.18,19) advocated that renal excretion of uric acid is inversely related to renal blood flow and positively related to renovascular resistance. The development of nephrosclerosis, the early vascular change of hypertension, may elevate the serum uric acid concentration by decreased renal blood flow between medullary and cortical circulation.18) Second, hyperuricemia may cause hypertension. Steele et al.20) explained that hyperuricemia may induce monosodium urate infiltration to the hyperosmolar renal medulla and enhance renal interstitial fibrosis. Hypertension ensues by impairment of renal function due to uric acid kidney and the resultant disturbance of the antihypertensive mechanism in the renal medulla. But Rieselbach et al.19,20,21) stressed the fact that uric acid excretion is increased in the case of more than 15 ml/min in inulin clearance despite renal functional impairment. And in case of less than 15 ml/min, the serum uric acid level is maintained by simultaneous renal tubular secretion and reabsorption by homeostasis, thus they claimed the theory of Steele et al. is not valid in the case of less than 13 mg % of serum uric acid level. Berger et al.22) reported no difference could be observed in renal function between 112 cases of gouty patients and a normal control group after follow-up of 12 years, also said hypertension and renal function impairment was rare in mild gouty patient. The third possibility is that reduced renal blood flow, hypertension and hyperuricemia may share common etiologic factors which could not be clearly explained.8,18)Fessel et al.13) studied the relationship between the level of blood pressure and uric acid concentration; he observed an elevation of systolic blood pressure in hyperuricemic patients but no elevation of diastolic pressure could be observed. Myers et al.23) also reported the tendency of some elevation of serum uric acid level in accordance with the increased blood pressure, but it was not a definite correlation. In our study, the levels of mean serum uric acid concentration and incidence of hyperuricemia were increased in accordance with the level of diastolic pressure and mean arterial pressure, but the level of systolic pressure was only related with the incidence of hyperuricemia but not with the concentration of serum uric acid. We also observed the serum uric acid profile and target organ damage secondary to hypertension.The class III (WHO) group had significantly higher serum uric levels compared to the class I, and when compared to class I, II together, but no significant difference was observed between I and II nor between II and III.There was an elevation of mean serum uric acid level in the group having abnormal urine findings and this is compatible with the fact that serum uric acid elevation is related to renal impairment.In the analysis of relation between disease duration and uric acid profile, dividing the two groups on the basis of 5 years, no significant relation was observed both in the mean level of uric acid and the incidence of hyperuricemia. We assumed, this may be due to the variety of asymptomatic duration and the gap between renal hypertension history and chart records.The increment of the mean serum uric acid concentration and the hyperuricemic incidence was observed in the group showing elevation of BUN and creatinine level, the latter showed more close correlation (Fig. 1,2).Lee et al.8) reported a somewhat different result from us. BUN elevation was well correlated with the incidence of hyperuricemia only. On the contrary, creatinine elevation was correlated only with the elevation of the mean serum uric acid level. In our study, even in the normal group of BUN and creatinine, the incidence of hyperuricemia was approximately 51% (the elevated group BUN 75.0%, creatinine 88.9%). This was a similar finding with Kolbel’s study reporting 56% of hyperuricemia in hypertensive patients with normal kidney function. The explanation of these findings could be that the development of renal arteriolar sclerosis exists before frank deterioration of renal function due to hypertension.There have been many reports7,24–29) of concomitant increase of serum uric acid level with cholesterol and triglyceride increments in myocardial infarction, peripheral vascular diseases and other disease.Adlersberg30) observed the hyperuricemia in one third of hypercholesterolemia group, and later, Harris-Jones32) validated this finding and Becker32) observed 50% of hypercholesterolemia in gouty patients he had studied. But Feldman33) advocated that there was elevation of serum triglyceride but not the cholesterol level in gouty patients without obvious atherosclerosis compared with a normal control group. No correlation between serum uric acid alteration and hypercholesterolemia, hypertriglyceridemia was observed in our study and this finding was reported by Myers et al.23)
Fig. 1.
Relationship between blood urea nitrogen and uric acid concentration in essential hypertension.
Fig. 2.
Relationship between serum creatinine and uric acid concentration in essential hypertension.
Table 1.
Age, sex distribution and serum uric acid profile of case materials
| Essential HT(mg%) | Control(mg%) | |||
|---|---|---|---|---|
|
|
|
|||
| M | F | M | F | |
| 20~39 | 6.91 ± 1.08(13)* | 6.50 ± 1.06(7) | 3.97 ± 1 21 (21) | 3.08 ± 1.13(17) |
| 40~59 | 6.26 ± 1.58(39) | 5.18 ± 2.03(30) | 8.1 3 ± 1.81 (18) | 3.58 ± 1.54(17) |
| Over 60 | 6.51 ± 2.41(27) | 5.71 ± 1.38(23) | 4.25 ± 1.18(1 2) | 3.88 ± 1.35(13) |
|
|
||||
| Total | 6.61 ± 1.54(79) | 5.84 ± 1.82(60) | 4.03 ± 1.27(51) | 3.1 2 ± 1.44(47) |
Table 2.
Incidence of hyperuricemia in normal subjects and hypertensive patients
| Essential HT | Control | P value | |
|---|---|---|---|
| Uric acid conc(mg%) | 6.60 ± 1.96 | 3.87 ± 1.30 | p<0.001 |
| No. hyperuricemia(%) | 79/139(57.1) | 17/98(17.8) | p<0.01 |
Table 3a.
Relationship between blood pressure and serum uric acid concentration in 139 cases of essential hypertension
Table 3b.
Relationship between blood pressure and serum uric acid concentration in 139 cases of essential hypertension
| Mean blood pressure | |||
|---|---|---|---|
|
|
|||
| Over 1 30 mmHg | Below 130 mmHg | P value | |
| Meam ± S.D. | 6.70 ± 2.17 | 6.02 ± 1.85 | p<0.05 |
| No. hyperuricemia | 41/60(68.1) | 38/79(48.1) | p<0.05 |
Table 4.
Relationship between serum uric acid concentration and severity of hypertension (WHO) in essential hypertension
| Class | P value* | |||
|---|---|---|---|---|
|
|
||||
| I | II | III | ||
| Mean ± S.D. | 5.40 + 1.51 | 6.02 ± 1.98 | 7.13 ± 2.28 | |
| No. hyperuricemia(%) | 21/52(40.4) | 8/14(57.1) | 31/41(75.6) | |
Table 5.
Relationship between the duration of hypertension and serum uric acid concentration in 75 cases of essential hypertension
| Above 5 yrs | Below 5 yrs | P value | |
|---|---|---|---|
| Mean ± S.D. | 6.28 ± 1.66 | 6.30 ± 2.07 | N.S. |
| No. hyperuricemia (%) | 8/14 (57.1) | 35/61 (57.4) | N.S. |
Table 6.
Relationship between urine findings and serum uric acid concentration in 108 cases of essential hypertension
| Abnormal urine* | Normal urine | P value | |
|---|---|---|---|
| Mean ± S.D. | 7.02 ± 1.97 | 5.83 ± 1.90 | p<0.02 |
| No. hyperuricemia | 14/19(74.0) | 51/89(57.3) | N.S. |
Table 7.
Relationship between blood urea nitrogen and serum uric acid concentration in hypertensive patients
| BUN over 20mg% | BUN below 20mg% | P value | |
|---|---|---|---|
| Mean ± S.D.(mg%) | 7.49 + 2.21 | 6.50 ±1.94 | p<0.02 |
| No. hyperuricemia(%) | 28/37(75.0) | 53/102(51.5) | P<0.01 |
Table 8.
Relationship between serum creatinine and uric acid concentration in hypertensive patients
| Creatinine over l.5mg% | Creatinine below 1.5mg% | P value | |
|---|---|---|---|
| Mean ± S.D. | 7. 82 ± 1.43 | 5.91 ± 2.08 | p<0.01 |
| No. hyperuricemia/%) | 8/9(88.9) | 49/95(51.6) | P<0.01 |
Table 9.
Relationship between serum cholesterol concentration and uric acid concentration in hypertensive patients
| Cholesterol over 200mg% | Cholesterol below 20mg% | P value | |
|---|---|---|---|
| Mean ± S.D.(mg%) | 5.97 + 1.58 | 6.08 ± 1.97 | N.S. |
| No. hyperuricemia(%) | 17/30(57.9) | 48/85(56.8) | N.S. |
Table 10.
Relationship between serum triglyceride concentration and serum uric acid concentration in hypertensive patients
| Triglyceride over 150mg% | Triglyceride below 150mg% | P value | |
|---|---|---|---|
| Mean ± S.D.(mg%) | 7.89±2.79 | 7.31 ± 1.57 | N.S. |
| No. hyperuricemia(%) | 21/24(88.9) | 43/58(73.7) | N.S. |
- References
- References
REFERENCES
1. Petersdorf RG, Adams RD, Braunwald E, Isselbacher KJ, Martin JB, Wilson JD, Harrison S. Priniciples of Internal Medicine. 10th Ed. McGraw Hill Book Company, New York: 517–5251983.2. Wyngaarden JB, Smith LH. Cecil Textbook of Medicine. 16th Ed. WB Saunders Company, Philadelphia: 10531107–11181982.3. Dollery CT, Duncan H, Schumer B. Hyperuricemia related to treatment of hypertension. Brit MJ 2:832. 1960.
[Article] [PubMed] [PMC]4. Kinsey D, Walther R, Sise HS, Whitlaw G, Smithwick R. Incidence of hyperuricemia in 400 hypertensive patients. Circulation 24:972. 1971.5. Itskowitz HD, Sellers AM. Gout and hyperuricemia after adrenalectomy for hypertension. N Engl J Med 268:1105. 1963.
[Article] [PubMed]7. Cannon PJ, Stason WB, Demartini FE, Sommers SC, Laragh JH. Hyperuricemia and renal hypertension. N Engl J Med 275:457. 1966.
[Article] [PubMed]8. Lee KH, Pak YH, Suh CY. Observation of the serum uric acid in various hypertension. Korean J Int Med 11:283. 1968.10. Goldstein RA, Becker KL, Moore CF. Serum urate in healthy men-Intermittent elevations and seasonal effects. N Engl J Med 287:649. 1972.
[Article] [PubMed]11. Acheson RM, Florey CV. Body-weight, ABO blood-groups, and altitude of domicile as determinants of serum uric acid in military recruits in four countries. Lancet 23:391. 1969.
[Article]12. Drum DE, Goldman PA, Jankowski CB. Elevation of serum uric acid as a clue to alcohol abuse. Arch Int Med 141:477. 1981.
[Article]13. Fessel WJ, Siegelaub AB, Johnson ES. Correlates and consequences of asymptomatic hyperuricemia. Arch Int Med 132:44. 1973.
[Article]14. Grayzel AI, Liddle L, Seegmiler JE. Diagnostic significance of hyperuricemia in arthritis. N Engl J Med 265:763. 1961.
[Article] [PubMed]15. Talbott JH. Gout. Second edition. Grune, New York: 261. 1964.16. Schrade W, Boehle E, Biegler R. Humoral changes in atherosclerosis: Investigation on lipids, fatty acids, ketone bodies, pyruvic acid, lactic acid and guclose in blood. Lancet 2:1409. 1960.
[Article] [PubMed]18. Messerli FH, Frohlich ED, Dreslinski GR, Suarez DH, Aristimuno GG. Serum uric acid in essential hypertension: An indicator of renal vascular involvement. Ann Int Med 93:817. 1980.
[Article] [PubMed]19. Rieselbach RE, Steele TH. Influence of the kidney upon urate homeostasis in health and disease. Am J Med 56:665. 1974.
[Article] [PubMed]20. Steele TH. Asymptomatic hyperuricemia pathogenic or innocent bystander? Arch Int Med 139:24–251979.
[Article]22. Berger L, Yu TF. Renal function in gout: IV. An analysis of 524 gouty subjects including long-term follow up studies. Am J Med 59:605. 1975.
[Article] [PubMed]23. Myers AR, Epstein FH, Dodge HJ, Mikkelsen WM. The relationship of serum uric acid to risk factors in coronary heart disease. Am J Med 45:520. 1968.
[Article] [PubMed]24. Berkowitz D. Blood lipid and uric acid interrelationships. JAMA 190:856. 1964.
[Article] [PubMed]25. Parsons WB. Studies of nicotinic acid in hypercholesterolemia. Arch Int Med 3:327. 1959.
[Article]26. Murphy R, Shipman KH. Hyperuricemia during total fasting: renal factors. Arch Int Med 112:954. 1963.27. Klinenberg GS, Seegmiler JE. Renal retention of uric acid induced by infusion of beta-hydroxybutyrate and acetoacetate. N Engl J Med 272:351. 1965.
[Article] [PubMed]28. Cristofori FC, Duncan GG. Uric acid excretion in obese subjects during periods of total fasting. Metabolism 13:303. 1964.
[Article] [PubMed]30. Adlersberg D. Newer advances in gout. Bull New York Acad Med 25:651. 1949.32. Becker JH. Gout and serum cholesterol. Winsconsin M J 57:735. 1960.
