The Predictive Parameters of Erythropoietin Hyporesponsiveness in Patients on Continuous Ambulatory Peritoneal Dialysis
- Jeong Ki Kim, M.D., Byoung Seok Park, M.D., Mi Jung Park, M.D., Won Choi, M.D., Seong Kwon Ma, M.D., Myong Yon Nah, M.D., Chung Ho Yeum, M.D., Kwon Jung, M.D., Seong Cheol Lee, M.D., Soo Wan Kim, M.D., Nam Ho Kim, M.D., Young Joon Kang, M.D., Ki Chul Choi, M.D.
- Abstract
-
- Background:
- The present study was aimed at investigating the predictive parameters of erythropoietin (epoetin) hyporesponsiveness in patients on continuous ambulatory peritoneal dialysis (CAPD).
- Methods:
- We studied 40 patients with end-stage renal disease who had been receiving CAPD for at least 6 months and epoetin therapy for at least more than 2 months. Pearson’s simple correlation and multiple stepwise linear regression analysis was used to discover what parameter can predict epoetin resistance. We expressed epoetin resistance index (ERI) as ‘weekly epoetin dose/hematocrit/body weight’. The dose of epoetin is titrated by about 25% every 2 to 4 weeks to maintain a target hematocrit level between 33% and 36%.
- Results:
- We analyzed the relationship between ERI and other predictive parameters by Pearson’s correlation. These results showed ERI has a statistically significant correlation with transferrin saturation (TS) (r=−0.327, p=0.042), total weekly Kt/Vurea (r=−0.423, p=0.018), serum albumin level (r=−0.458, p=0.003), normalized protein catabolic rate (nPCR) (r=−0.479, p=0.006), normalized protein equivalent of total nitrogen appearance (nPNA) (r=−0.488, p=0.005) and serum C-reactive protein (CRP) (r=0.332, p = 0.036). Regression analysis was performed using stepwise linear regression for multiple variables to discover the most independent variable which is correlated with ERI. ERI was entered as a dependent variable, whereas the other parameters (age, duration of peritoneal dialysis, serum albumin level, CRP, serum ferritin, total weekly Kt/Vurea, nPCR, nPNA, serum iPTH, serum aluminium, TS) were entered as independent variables. This analysis showed CRP is the most significant variable and, if CRP is excluded, nPNA is the significant variable. CRP has a statistically significant correlation with serum albumin level (r=−0.418, p=0.007) and total weekly Kt/Vurea (r=−0.366, p=0.043). High CRP group has more increased level of ERI (p<0.05), age (p<0.05) and serum creatinine level (p<0.05) than normal control, but more decreased level of serum albumin (p<0.01) and serum iron levels (p<0.05).
- Conclusion:
- These results indicate that CRP is the most important predictor of epoetin hyporesponsiveness.
- INTRODUCTION
- INTRODUCTION
Anemia is a predictable hematologic feature or manifestation of end-stage renal disease (ESRD) which was first noted by Richard Bright in 18361) and since then, many clinical trials and researches for its cause and treatment have been accomplished. Several recent studies have attributed the erythropoietin (epoetin) resistance or hyporesponsiveness in ESRD to other factors such as shortened red cell survival, iron and other nutritional deficiencies, aluminium toxicity, severe hyperparathyroidism and uremic inhibitors2–4). However, the primary mechanism of this anemia is inadequate epoetin production by the kidney.The effectiveness of epoetin for the renal anemia had been reported since 19865) and, recently, this agent has been widely used for this reason6). It has been well recognized that the correction of their anemia by adequate epoetin therapy on ESRD patients receiving dialysis improved cardiopulmonary performance, decreased myocardial hypertrophy, prevented unnecessary transfusion and its adverse effects and improved life quality, such as physical performance and exertional dyspnea7,8).Many clinical trials in patients with ESRD receiving dialysis treatment showed that recombinant human epoetin therapy was very effective in correcting the anemia, and 90–95% of patients with renal anemia responded in dose-dependent manner to epoetin9–11). But the remaining 5–10% of patients have a blunted or no response to epoetin, despite a large amount of expensive, high-dose therapy because of many different factors12–15). Many authors showed that several factors contribute to epoetin hyporesponsiveness, and currently recognized causes for epoetin hyporesponsiveness include iron deficiency (either ‘absolute’ or ‘functional’)12,13), blood loss (which is often occult)14,15), infection or inflammatory conditions including malignancies16,17), secondary hyperparathyroidism with marrow fibrosis18,19), aluminium toxicity20,21) and so on. However, its correct etiology or pathophysiology is not well established.Therefore we started researching to investigative what parameter can predict epoetin hyporesponsiveness and, especially, contributions of inflammation to epoetin resistance.
- MATERIALS AND METHODS
- MATERIALS AND METHODS
We selected 40 patients with ESRD who had been receiving epoetin therapy for at least more than 2 months, peritoneal dialysis for more than 6 months, not acutely ill appearance, no known history of admission treatment, infection, bleeding within 2 months and no transfusion history within at least 1 month. Hematocrit (Hct) and hemoglobin (Hgb) levels of patients had been less than 30% and 10 g/dL for at least 6 months before epoetin administration, respectively. The mean age of patients was 45.7 ± 13.9 years, ranging from 22 to 69 years, when they started to receive dialysis, and duration of chronic renal failure averaged 53.6 ± 36.5 months and dialysis duration 34.2 ± 32.6 months. The causes of ESRD in 40 CAPD patients were chronic glomerulonephritis 19 (47.5%), diabetic nephropathy 10 (25%), hypertensive renal disease 7 (17.5%) and obstructive uropathy, lupus nephritis, polycystic kidney disease and IgA nephropathy 1 (2.5%), respectively (Table 1).CAPD patients in this study received epoetin subcutaneously at a frequency ranging from twice to thrice weekly on initial dose of 50 U/kg/week. The dose of epoetin is titrated by 25% every 2 to 4 weeks in an attempt to maintain a target Hct level between 33% and 36%22). All patients had required oral iron since 3 months before our study to maintain serum ferritin and transferrin saturation (TS), more than 100 ng/mL and 20%, respectively. When oral iron is used, it should be given as 200 mg of elemental iron per day, in 2 to 3 divided doses in adult patients23).Because the dose of epoetin is titrated every 2 to 4 weeks according to the Hct level, a dose-response relationship between epoetin and Hct level is created. Some patients require a high dose of epoetin to reach a target Hct level, whereas others maintain a target Hct level on a low dose of epoetin. Therefore, we expressed this dose-response relationship as the ratio of total weekly epoetin dose to Hct (weekly epoetin dose/Hct), and it is corrected by body weight (weekly epoetin dose/Hct/kg), an index of resistance to epoetin (ERI)10). We applied the weekly epoetin dose as the average value during 4 weeks.We used the values within 1 to 2 months before epoetin therapy as laboratory data of patients. Hct and Hgb levels, which can evaluate epoetin responsiveness, were recorded monthly after epoetin therapy, and we evaluated epoetin responsiveness in 2 to 4 months after epoetin therapy. We measured the parameters, which predict epoetin responsiveness; (1) which imply inflammation such as serum C-reactive protein (CRP) and erythrocyte sedimentation rate (ESR), (2) which is associated inflammation and nutritional status such as serum albumin, TS, serum ferritin and other iron indices, (3) which involve nutritional status such as normalized protein catabolic rate (nPCR) and normalized protein equivalent of total nitrogen appearance (nPNA), (4) which means dialysis adequacy such as total weekly Kt/Vurea and weekly corrected creatinine clearance (WCC), (5) serum aluminium and (6) intact parathyroid hormone (iPTH) levels. Among these parameters, serum iron, serum ferritin, total iron binding capacity (TIBC), transferrin, TS (serum iron/TIBC × 100), serum aluminium, serum iPTH, serum albumin, CRP, ESR, BUN (Blood urea nitrogen) and serum creatinine were measured during the preceding month. These values were used for statistical analysis. Total weekly Kt/Vurea, WCC, nPCR and nPNA were calculated by the values of BUN, serum creatinine which were measured by collected urine and peritoneal dialysate during 24 hours. Total weekly Kt/Vurea and WCC were used to evaluate the dialysis adequacy24,25). Total weekly Kt/V was calculated by the sum of peritoneal Kt/Vurea (which is calculated by 24-hour peritoneal dialysate) and renal Kt/Vurea (which is calculated by 24-hour urine) in the formula show by Lysaght et al.26). WCC was calculated in the formula showed by Boen et al.27). nPCR, nPNA were used to evaluate the nutritional status28). nPCR was calculated by the formula show by Teehan et al.29). nPNA was calculated by the method show by Kopple et al.30,31).
- STATISTIC METHODS
- STATISTIC METHODS
All statistic analysis were performed using SPSSWIN VER 8.0. Pearson’s simple corelation was used to analyze the relationship between ERI and other parameters. Multiple stepwise linear regression analysis was performed to discover the most significant predictor. ERI was entered as the dependent variable, whereas the other parameters (serum albumin, CRP, serum ferritin, TS, serum iron, serum aluminium, age, serum iPTH, duration of dialysis, total weekly Kt/Vurea, nPCR, nPNA, WCC) were entered as independent variables. The values are expressed as mean ± SD (Standard deviation) and differences were considered statistically significant at P less than 0.05.
- RESULTS
- RESULTS
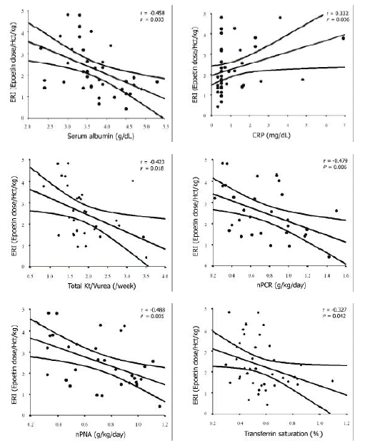
Table 1 shows that data of 40 patients with CAPD had no significant differences in sex except Hgb and serum ferritin levels.We analyzed the relationship between different parameters (age, serum albumin concentration, CRP, duration of dialysis, duration of chronic renal failure, serum ferritin, TS, serum iron, TIBC, WCC, total weekly Kt/Vurea, serum iPTH, nPNA, nPCR, BUN, serum creatinine and serum aluminium levels), which are expected to have effects on epoetin responsiveness, and ERI by Pearson’s simple correlation (Figure 1). As a result, there were significant negative correlations with TS, total weekly Kt/Vurea, nPCR, nPNA and serum albumin concentration and positive correlation with CRP (Figure 1).Multiple stepwise linear regression analysis was performed between ERI and other parameters (those which have correlation with ERI by Pearson’s simple correlation, such as TS, total weekly Kt/Vurea, nPCR, nPNA, serum albumin level and CRP, and those which can be expected to have correlation with ERI such as age, duration of dialysis, serum ferritin, serum iPTH, serum aluminium, WCC), which were entered as independent variables. As a result of this analysis, we recognized that CRP was the most important independent predictor. If CRP was excluded, nPNA was significant parameter (Table 2). We also discovered that the serum albumin level was positively correlated with nPCR and nPNA as nutritional parameters (Figure 2). These results show that inflammation and nutritional status have a significant contribution to epoetin responsiveness.Our study also discovered that CRP is positively correlated with serum albumin concentration and total weekly Kt/Vurea (Figure 3). Therefore, we compared normal CRP group (<0.5 mg/dL) with high CRP group (≥0.5 mg/dL), and then we discovered that, in the high CRP group, serum albumin (p<0.01) and serum iron levels (p<0.05) are significantly lower and age (p<0.05), serum creatinine level (p<0.05) and ERI (p<0.05) are significantly higher compared with those of the normal CRP group (Table 3).
- DISCUSSION
- DISCUSSION
The most common cause of epoetin resistance or hyporesponsiveness in patients on CAPD is iron deficiency which is reviewed by variable studies, but the role of absolute iron deficiency in epoetin hyporesponsiveness has declined recently because of intravenous or oral iron supplementation13). In our study, CAPD patients, whose TS and serum ferritin was less than 20% and 100 ng/mL, respectively, had been excluded because of high probability of absolute iron deficiency. Therefore, we thought that absolute iron deficiency has a less contribution to epoetin responsiveness. However, Levy et al.32) and Robotham et al.33) previously reported that some of the iron indices (eg. TS, serum transferrin, serum ferritin) can predict ERI. Our study discovered that there was a positive correlation between TS and ERI but no significant correlations with serum transferrin and serum ferritin (Figure 1). This consequence may be caused by a highly variable serum ferritin level in patients on CAPD of our study or by the small number of patients in our study.Ifudu et al.34) showed that dialysis adequacy in ESRD patients receiving EPO treatment has a direct correlation with Hgb and Hct levels. In our study, ERI has a significant negative correlation with total weekly Kt/Vurea which means adequacy of dialysis. It may be caused by serum uremic inhibitors which inhibit erythropoiesis in bone marrow in CAPD patients with inadequate dialysis. Therefore, adequate dialysis may not only decrease the epoetin resistance but also mate a contribution to prevent or correct the renal anemia in epoetin.It was previously recognized that severe hyperparathyroidism, which inhibits erythropoiesis secondary to bone marrow fibrosis, causes anemia and increased serum aluminium level frequently induced microcytic anemia in ESRD patients18,19). Therefore, we thought hyperparathyroidism and increased serum aluminium could have an influence on epoetin responsiveness in our patients. However, serum iPTH and serum aluminium levels had not an important correlation with epoetin responsiveness in our patients on CAPD. We thought that this result was caused by increased awareness and active treatment of hyperparathyroidism, such as calcium replacement, and avoidance of aluminium containing drug or materials. If serum aluminium18,20,21) and serum iPTH levels19) are not increased significantly, epoetin resistance caused by aluminium toxicity and hyperparathyroidism is rare. In our study, serum iPTH levels were more than 1000 pg/mL in only one case which had no bone marrow fibrosis. No cases were more than 100 μg/L in serum aluminium level. Therefore, hyperparathyroidism and aluminium toxicity were not important causes of epoetin resistance in our patients.Kaysen et al.10,33) reported that hypoalbuminemia is an indicator of both poor nutritional status and presence of the acute phase response and a good predictive parameter of epoetin hyporesponsiveness35–37). Serum albumin level not only had a significant negative correlation with ERI but also had a strong positive correlation with nPCR and nPNA, as an indicator of nutritional status, in Pearson’s simple correlation. Both nPCR and nPNA had significant negative correlation with ERI. Therefore, we thought malnutrition expressed by hypoalbuminemia could predict epoetin hyporesponsiveness. nPNA was a very significant independent variable in multiple linear stepwise regression analysis if CRP was excluded. These results strongly indicate that malnutrition plays an important role in epoetin hyporesponsiveness.Both Kaysen et al.38,39) and Choi et al.40) reported recently that inflammation, determined by high titers of CRP, is a better predictor of low serum albumin level than other nutritional parameters in patients on CAPD. Our study demonstrated that CRP, a very sensitive indicator of inflammation, had not only a strong negative correlation with serum albumin level but also a significant positive correlation with ERI. Therefore, we thought CRP could be a strong indicator of serum albumin level as well as the most significant predictive parameter of epoetin hyporesponsiveness. Multiple regression analysis also showed that CRP is the most significant variable. These consequences may be explained by the fact that inflammatory stimuli elicit the release of various cytokines, such as interleukin-1, interlukin-6, and tumor necrosis factor (TNF) that cause acute phase response and then these cytokines, released during the acute phase response, have been shown to inhibit epoetin production directly and to act synergistically to inhibit the proliferation and maturation of erythroid precursors10).We analyzed other parameters which have an impact on CRP using Pearson’s simple correlation. This analysis showed that they are significantly correlated with total weekly Kt/Vurea and serum albumin level. Comparison between the normal CRP group (<0.5 mg/dL) and the high CRP group (≥0.5 mg/dL) showed that serum albumin concentration in the high CRP group was significantly lower and ERI was significantly higher than that of the normal CRP group. These results indicated that sufficient nutritional supplementation and adequate dialysis can prevent increased CRP as well as improve EPO responsiveness. Simultaneously, we should correct the causes of increased CRP.In conclusion, acute phase response, expressed by high titers of CRP, is the most significant predictive parameter to epoetin resistance or hyporesponsiveness in patients on CAPD. Most of all, early recognition of a low probability of response in a given patient can help identify and correct the specific cause of treatment failure. Alternatively, in patients with low probability of response but no correctable cause of failure by these predictive parameters, especially CRP, the dose of epoetin could be increased early in the course of treatment without waiting for an evaluation of the hematological response after 1–2 months. These clinical trials may give a high quality of life, decreased economic loss and marked reduction of morbidity or mortality to ESRD patients by improvement of renal anemia.
Figure 1.
Relationship between ERI and serum albumin level, CRP, total weekly Kt/Vurea, nPCR, nPNA, transferrin saturation in patients on CAPD (p<0.05*, p<0.01**).
Figure 2.
The relationship of serum albumin concentration and nPNA, nPCR in patients on CAPD (p<0.05*, p<0.01**).
Figure 3.
The relationship of CRP and serum albumin concentration, total weekly Kt/Vurea in patients on CAPD (p<0.05*, p<0.01**).
Table 1.
Characteristics and laboratory data in patients on CAPD
| CAPD patients (N=40) | Male (N=21) | Female (N=19) | |
|---|---|---|---|
| Age (years) | 45.7 ± 13.9 | 48.9 ± 13.7 | 42.2 ± 13.7 |
| Dialysis duration (months) | 34.2 ± 32.6 | 26.14 ± 30.57 | 34.68 ± 34.93 |
| CRF duration (months) | 53.6 ± 36.5 | 39.29 ± 31.71 | 60.89 ± 38.79 |
| Etiology of CRF | |||
| Chronic glomerulonephritis | 19 (47.5 %) | ||
| Diabetic nephropathy | 10 (25.0 %) | ||
| Hypertensive renal disease | 7 (17.5 %) | ||
| Others | 4 (10.0 %) | ||
| ERI (epoetin dose/Hct/kg) | 2.29 ± 1.16 | 2.20 ± 1.26 | 2.38 ± 1.06 |
| Hgb (g/dL) | 8.28 ± 0.95 | 8.59 ± 0.98* | 7.94± 0.81* |
| Hematocrit (%) | 23.57 ± 3.36 | 24.60 ± 2.99 | 23.31 ± 2.04 |
| MCV (fL) | 90.94 ± 4.54 | 90.86 ± 5.04 | 90.60 ± 4.03 |
| MCHC (g/dL) | 34.07 ± 2.41 | 34.38 ± 1.96 | 33.73 ± 2.84 |
| CRP (mg/dL) | 1.13±1.34 | 1.23 ± 1.54 | 1.03 ± 1.12 |
| ESR (mm/hr) | 82.88±39.24 | 79.71 ± 27.64 | 86.37 ± 49.62 |
| Serum albumin (g/dL) | 3.68±0.70 | 3.61 ± 0.65 | 3.76 ± 0.76 |
| Serum iron (mg/dL) | 81.87±33.90 | 75.60 ± 31.95 | 88.47 ± 35.47 |
| Serum ferritin (mg/dL) | 347.2 ± 264.1 | 434.9 ± 252.5* | 255.0 ± 247.7* |
| TS (%) | 35.76 ± 17.09 | 31.14 ± 11.99 | 40.62 ± 20.40 |
| TIBC (mg/dL) | 240.51 ± 60.60 | 242.80 ± 58.64 | 238.11 ± 64.06 |
| Total Kt/Vurea (/week) | 1.90 ± 0.63 | 1.92 ± 0.74 | 1.88 ± 0.50 |
| Total WCC L/week | 53.69 ± 33.60 | 49.11 ± 38.75 | 59.26 ± 26.38 |
| nPCR (g/kg/day) | 0.75 ± 0.35 | 0.73 ± 0.35 | 0.70 ± 0.29 |
| nPNA (g/kg/day) | 0.72 ± 0.27 | 0.70 ± 0.29 | 0.75 ± 0.24 |
| Serum aluminium (μg/L) | 16.74 ± 12.20 | 20.47 ± 10.34 | 13.01 ± 35.76 |
| serum iPTH (pg/mL) | 217.11 ± 239.93 | 251.74 ± 298.96 | 180.56 ± 156.56 |
Table 2.
Independent variables that predict epoetin resistance in patients on CAPD by multiple linear stepwise regression analysis
Table 3.
Differences between high CRP group and normal CRP group
- References
- References
REFERENCES
1. Bright R. Cases and observations illustrative of renal disease accompanied with the secretion of albuminous urine. Guy’s Hosp Res 1:338–4001836.2. Adamson JW, Eschbach JW, Finch CA. The kidney and erythropoiesis. Am J Med 44:725–7331968.
[Article] [PubMed]3. Chandra M, MacVicar M, Clemons GK. Pathogenesis of the anemia of chronic renal failure. The role of erythropoietin. Adv Pediatr 35:361–3891988.
[Article] [PubMed]4. Besarab A. Recombinant human erythropoietin. Physiology, pathophysiology of anemia in renal failure, and economic aspects related to dosing. Am J Nephrol 10(suppl 2):S2–S61990.
[Article]5. Winearls CG, Oliver DD, Pippard MJ. Effect of human erythropoietin derived from recombinant DNA on the anemia of patients maintained by chronic hemodialysis. Lancet 2:1175–11781986.
[Article] [PubMed]6. Ponticelli C, Casati S. Correction of anemia with recombinant human erythropoietin. Nephron 52:201–2081989.
[Article] [PubMed]7. Gr¨tzmacher P, Scheuermann E, Low I, Bergmann M, Rauber K, Baum R, Heuser J, Schoeppe W. Correction of renal anemia by recombinant human erythropoietin. Effects on myocardial function. Contrib Nephrol 66:176–1841988.
[Article] [PubMed]8. Grunze M, Kohlmann M, Mulligan M, Grüner I, Koeppel M, Bommer J. Mechanisms of improved physical performance of chronic hemodialysis patients after erythropoietin treatment. Am J Nephrol 10(suppl 2):S15–S231990.
[Article]9. Eschbach JW, Egrie JC, Downing MR, Browne JK, Adamson JW. Correction of the anemia of end-stage renal disease with recombinant human erythropoietin. N Engl J Med 316:73–781987.
[Article] [PubMed]10. Jennifer G, Jane YY, Thomas AD, George A, Kaysen . Acute-phase response predicts erythropoietin resistance in hemodialysis and peritoneal dialysis patients. Am J Kidney Dis 33:63–721999.
[Article] [PubMed]11. MacDougall IC. Poor response to erythropoietin. Practical guideline on investigation and management. Nephrol Dial Transplant 10:607–6141995.
[Article] [PubMed]12. Van Wyck DB, Stivelman JC, Ruiz J, Kirlin LF, Katz MA, Ogden DA. Iron status in patients receiving erythropoietin for dialysis-associated anemia. Kidney Int 35:712–7161989.
[Article] [PubMed]13. MacDougall IC, Hutton RD, Call I, Coles GA, Williams JD. Poor response to treatment of renal anemia with erythropoietin corrected by iron given intravenously. Br Med J 299:157–1581989.
[Article] [PubMed] [PMC]14. Muirhead N. Factors affecting the response to erythropoietin in chronic renal failure. Semin Dial 4:5–81991.
[Article]15. Stivelman JC. Resistance to recombinant human erythropoietin therapy. a real clinical entity. Semin Nephrol 9(suppl 2):S8–S111989.16. Muirhead N, Hodsman AB. Occult infection and resistance of anemia to rHuEPO therapy in renal failure. Nephrol Dial Transplant 5:232–2341990.
[Article] [PubMed]17. MacDougall IC, Coles GA, Williams JD. Inhibition of a response to erythropoietin in the presence of infection or malignancy. Erythropoiesis 3:29–301992.18. Muirhead N, Hodsman AB, Hollomby DJ, Cordy PE. The role of aluminium and parathyroid hormone in erythropoietin resistance in hemodialysis patients. Nephrol Dial Transplant 6:342–3451991.
[Article] [PubMed]19. Rao DS, Shih MS, Mohini R. Effect of serum parathyroid hormone and bone marrow fibrosis on the response to erythropoietin in uremia. N Engl J Med 328:171–1751993.
[Article] [PubMed]20. Grützmacher P, Ehmer B, Messinger D, Kulbe KD, Scigalla P. Effect of aluminium overload on the bone marrow response to recombinant human erythropoietin. Contrib Nephrol 76:315–3231989.
[Article] [PubMed]21. Alfurayh O, Sobh M, Barri Y, Qunibi W, Taher S. Aluminium overload and response to recombinant human erythropoietin in patients under chronic hemodialysis. Nephrol Dial Transplant 7:939–9431992.
[Article] [PubMed]22. National Kidney foundation. EPO administration. Am J Kidney Dis 30(suppl):S213–S2171997.23. National Kidney foundation. Iron support. Am J Kidney Dis 30(suppl):S202–S2121997.24. Nolph KD, Moore HL, Prowant B. Cross sectional assessment of weekly urea and creatinine clearances as indices of nutrition in continuous ambulatory peritoneal dialysis patients. Perit Dial Int 13:178–1831993.
[Article] [PubMed]25. Goodship THJ, Pablick-Deetjen J, Ward MK, Wilkinson R. Adequacy of dialysis and nutritional status in CAPD. Nephrol Dial Transplant 8:1366–13711993.
[Article] [PubMed]26. Lysaght MJ, Pollock CA, Hallet MD, Ibels LS, Farrel PC. The relevance of the urea kinetic modeling to CAPD. Trans Am Soc Artif Intern Organs 35:784–7901989.27. Boen ST, Haagsma WAG, Birnie RJ. Long-term peritoneal dialysis and peritoneal dialysis index. Nephrol Dial Transplant 7:377–3801978.28. Mandolfo S, Corradi B, Malberti F, Imbasciati E. Computerized management of peritoneal dialysis. Perit Dial Int 13(suppl 2):S187–S1891993.
[Article] [PubMed]29. Teehan BP, Schleifer CR, Brown J. Assessment of dialysis adequacy and nutrition by urea kinetic modeling. Perit Dial Int 14(suppl 3):S99–S1041994.
[Article] [PubMed]30. Kopple JD. Nutritional status as a predictor of morbidity and mortality in maintenance dialysis patients. ASAIO J 43:246–2501997.
[Article] [PubMed]31. Young GE, Kopple JD, Lindholm B. Nutritional assessment of continuous ambulatory peritoneal dialysis patients: an international study. Am J Kidney Dis 17:462–4711991.
[Article] [PubMed]32. Konjin AM, Camel N, Levy R, Hershko C. Mechanism of ferritin synthesis in inflammation. Br J Haematol 49:361–3661981.
[Article] [PubMed]34. Ifudu O, Feldman J, Friedman EA. The intensity of hemodialysis and the response to erythropoietin in patients with end-stage renal disease. N Engl J Med 33:420–4251996.
[Article]35. MacDougall L, Moodley G, Eyberg C, Quirk M. Mechanisms of anemia in protein-energy malnutrition in Johannesburg. Am J Clin Nutr 35:229–2351982.
[Article] [PubMed]36. Olsen R. The anemia of protein-calorie malnutrition and its response to dietary protein. Nutr Rev 37:81–831979.
[Article] [PubMed]37. Hercberg S, Galan P. Nutritional anaemias. Baillieres Clin Haematol 5:143–1681992.
[Article] [PubMed]38. Kaysen GA, Stevenson FT, Depner TA. Determinants of albumin concentration in hemodialysis patients. Am J Kidney Dis 29:658–6681997.
[Article] [PubMed]39. Yeun JY, Kaysen GA. Acute-phase proteins and peritoneal dilysate albumin loss are the main determinants of serum albumin in peritoneal dialysis patients. Am J Kidney Dis 30:923–9271997.
[Article] [PubMed]40. Han DS, Lee SW, Kang SW, Choi KH. Factors affecting low values of serum albumin in CAPD patients. Adv Perit Dial 12:288–2921996.
[PubMed]
