![]() |
![]() |
| Korean J Intern Med > Volume 35(4); 2020 > Article |
|
| Characteristic |
No. of patients |
||
|---|---|---|---|
| Total | ITP | Non-ITP | |
| No. of patients | 568 | 206 | 362 |
| Age, yr, median (range) | 57 (15–92) | 53 (15–92) | 61 (16–91) |
| Sex | |||
| Male | 263 | 78 | 185 |
| Female | 303 | 126 | 177 |
| Diagnosis | |||
| Bone marrow diseasesa | 132 | ||
| Infection | 69 | ||
| Drug | 56 | ||
| DIC | 30 | ||
| Liver disease | 40 | ||
| Othersb | 35 | ||
Values are presented as median (range).
ITP, immune thrombocytopenic purpura; IPF, immature platelet fraction; BM, bone marrow; PLT, platelet; Hb, hemoglobin; WBC, white blood cell; PT, prothrombin time; INR, international normalized ratio; aPTT, activated partial thromboplastin time; LDH, lactate dehydrogenase; BUN, blood urea nitrogen; Cr, creatinine; CRP, C-reactive protein.
ITP, immune thrombocytopenic purpura; HR, hazard ratio; CI, confidence interval; IPF, immature platelet fraction; LDH, lactate dehydrogenase; WBC, white blood cell; PT, prothrombin time; INR, international normalized ratio; aPTT, activated partial thromboplastin time; BUN, blood urea nitrogen; Cr, creatinine; CRP, C-reactive protein.
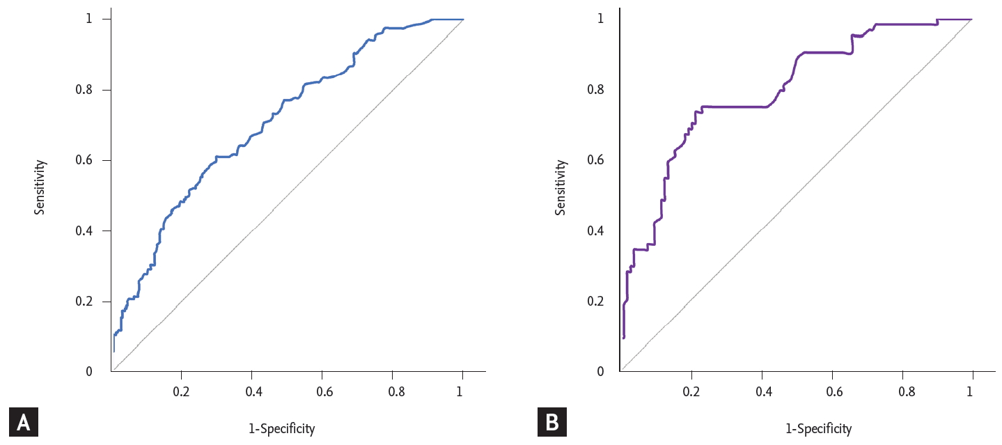
Values are presented as number (%). Data are total number of patients with ITP/total number of patients with that score. Scoring model: 1 point to high hemoglobin (> 12g/dL), low ferritin (≤ 177 ng/mL), normal lactate dehydrogenase (≤ upper limit of normal) and immature platelet fraction (IPF) ≥ 7 and < 10, 2 point to IPF ≥ 10.
ITP, immune thrombocytopenic purpura.

![]() |
![]() |