Korean J Intern Med > Volume 40(6); 2025 > Article
Ahn, Yu, Bae, Kim, and Lee: Risk of colorectal cancer in kidney transplant recipients and patients with end-stage renal disease undergoing hemodialysis

Abstract

Background/Aims

Assessing the risk of colorectal cancer (CRC) after kidney transplantation (KT) in patients with end-stage renal disease (ESRD) receiving dialysis is crucial to determine KT’s risks and benefits. In Korea, the study results remain unclear. Therefore, using a nationwide health screening and claims database, this longitudinal study aimed to investigate CRC risk in KT recipients versus patients with ESRD receiving hemodialysis.

Methods

This research recruited 65,154 participants (60,202 on dialysis vs. 4,955 with KT) from the database of the Korean National Health Insurance Service, which provides mandatory health insurance to all Korean citizens. These participants were followed up from the baseline to CRC development, loss of follow-up, or study completion. The landmark method was used to effectively control the immortal time bias.

Results

During the follow-up period, the incidence of CRC was 2.9 per 1,000 person-years in the dialysis group and 1.2 per 1,000 person-years in the KT group (p < 0.001). The mean time for CRC development in the dialysis and KT groups was 4.5 and 4.8 years, respectively. Compared with dialysis patients, the KT group obtained an adjusted hazard ratio of 0.54 for CRC (95% confidence interval, 0.42–0.71; p < 0.001). Landmark analysis showed that the 15-year cumulative CRC incidence was significantly higher in the dialysis group than in the KT group after landmark time points of 3 and 5 years (p < 0.0001).

Conclusions

The risk of CRC after KT remained significantly lower than that of patients undergoing dialysis, even after landmark analysis.

Graphical abstract

INTRODUCTION

The association between end-stage renal disease (ESRD) and colorectal cancer (CRC) development has emerged as a major health concern [1,2]. In a retrospective analysis using the Korean National Health Insurance Service (NHIS) database, the overall cancer risk was approximately 1.54 times higher among 48,315 patients with ESRD undergoing dialysis than that among healthy controls. In particular, CRC occurred most frequently in both the dialysis and control groups, and the incidence rate in the dialysis group was 1.36-fold higher than that in the control group (p < 0.001) [3]. A longitudinal health insurance database study in Taiwan showed that patients with chronic kidney disease not receiving dialysis had an independently higher risk of developing CRC than age- and sex-matched controls (hazard ratio [HR], 1.79; p < 0.001) after adjusting for potential confounding factors [4]. Patients with ESRD requiring dialysis may be potential candidates for kidney transplantation (KT). KT requires long-term immunosuppressive treatment, which could be a risk factor for malignancy [5,6]. In studies comparing KT recipients with the general population by using the standardized incidence ratio (SIR), the risk for CRC slightly increased after KT (SIR, 1.4–1.8) [79]. A Taiwanese retrospective nationwide study analyzed the CRC risk for over 14 years (2000–2013) in 3,739 KT recipients and 42,324 patients with ESRD but without KT; additionally, the cumulative incidence of CRC was 1.34-fold higher (log-rank test, p < 0.001) in the KT group than in the dialysis group [10]. Evaluating the risk of CRC after KT in patients with ESRD who are on dialysis is crucial to determine the risks and benefits of KT; however, no clear results are currently available in Korea. Therefore, this longitudinal study aimed to investigate the risk of developing CRC in KT recipients in comparison with patients with ESRD receiving dialysis, using a nationwide health screening and claims database.

METHODS

Study population

Figure 1 illustrates the selection process of our study participants recruited from the Korean NHIS database. The NHIS is well organized and centralized, implying that all medical records, including diagnoses, prescriptions, hospitalizations, and national health screening results, were obtained through institutional approval. We enrolled individuals who started renal replacement therapy (either hemodialysis or peritoneal dialysis) or received KT for ESRD between January 2002 and December 2020. The exclusion criteria were as follows: 1) age < 18 years, 2) immunosuppressive therapy (e.g., cyclosporine, mycophenolate mofetil, tacrolimus, sirolimus, everolimus, azathioprine, methotrexate, and/or cyclophosphamide) ≥ 6 months before starting dialysis, 3) dialysis introduction before study entry, 4) CRC diagnosis within 1 year of dialysis introduction or KT, 5) graft failure, 6) missing data on primary variables. This study conformed to the principles of the Declaration of Helsinki and received approval from the Institutional Review Board of Gangneung Asan Hospital (IRB approval number: 2024-11-002). Additionally, informed consent acquisition was waived because only anonymized data were used.

Data selection

The disease status was determined using the 10th International Classification of Diseases and Related Health Problems (ICD-10). We defined dialysis as the combination of ICD-10 codes for ESRD (N185, N189, or Z49) and a dialysis prescription for ≥ 3 months. An ICD-10 code of Z94.0 indicated KT. Hypertension was defined as the combination of the ICD-10 codes I10–13 and I15, antihypertensive prescription, and either ≥ 1 ICD-10 code for hypertension for any reason on admissions or ≥ 2 ICD-10 codes for hypertension on outpatient visits. Furthermore, we defined diabetes mellitus (DM) as the combination of the ICD-10 codes E11–14, antidiabetic prescription, and either ≥ 1 ICD-10 code for DM for any reason on admissions or ≥ 2 ICD-10 codes for DM on outpatient visits. Demographic data collected during the baseline national health screening were extracted from the NHIS database. In addition, information on personal income level, smoking habit, and alcohol consumption was collected using a self-administered questionnaire survey. The Charlson Comorbidity Index (CCI), a well-known method for classifying prognostic comorbidity in longitudinal studies, was evaluated according to health insurance claims during the 2-year retrospective period from the baseline [11,12].

Study outcome

The primary outcome was a newly diagnosed CRC, which was defined as the combination of ICD-10 codes C18, C19, and C20 and either a hospitalization history or ≥ 2 outpatient visits for CRC. Participants were followed up from the baseline until CRC development, loss to follow-up, or end of the study (i.e., December 31, 2020), whichever occurred first. Loss to follow-up and study period were censored events.

Statistical analysis

All data were analyzed using SAS Enterprise Guide version 6.1 (SAS Institute, Cary, NC, USA) and STATA version 17 (STATA Corp., College Station, TX, USA). A p value < 0.05 was considered statistically significant. Continuous variables are expressed as mean ± standard deviations or as medians and interquartile ranges. Intergroup comparisons (ICD-10) were performed using the Student’s t-test and Mann–Whitney U-test for normally distributed and non-normally distributed continuous variables, respectively. Categorical variables, expressed as numbers with percentages, were assessed using the chi-square test or Fisher’s exact test. The normality of the data distribution was analyzed using the Shapiro–Wilk test. The cumulative incidence of CRC was estimated using Kaplan–Meier (KM) analysis and the log-rank test. The risk of developing CRC in patients with ESRD undergoing dialysis and those who received KT was estimated using the Cox proportional hazards model. The corresponding data are expressed as HR with 95% confidence intervals (CI).

Landmark method

To effectively control the immortal bias, this study used the landmark method. This method sets an arbitrary landmark time point and divides participants exposed to a drug or treatment after that time point from those who are unexposed, for the analysis. Individuals were excluded from observation if an event occurred before the landmark time point [13,14]. For example, patients with ESRD were not eligible for KT if they were diagnosed with CRC during an index colonoscopy, which was performed as part of the pre-KT screening. In addition, if CRC was excluded or adenomas that could become precancerous lesions were removed at the time of colonoscopy, its legacy effect may affect the difference in CRC incidence rates for at least 3 years and up to 5–10 years. To exclude the long-term beneficial effect of pre-KT colonoscopy, we set the landmark time points at 3 and 5 years after KT.

RESULTS

Baseline characteristics

This study enrolled 65,157 participants (60,202 in the dialysis group and 4,955 in the KT) (Fig. 1). All KT patients were receiving immunosuppressants. Table 1 summarizes their baseline characteristics. Compared with the KT group, the dialysis group was older, consisted mostly of males, had a lower income level, and was more likely to be a current smoker and a heavy drinker (p < 0.001). While the dialysis group had a higher body mass index (BMI), the KT group had lower hypertension and DM prevalence and mean CCI score (p < 0.001).

Risk of CRC according to dialysis versus KT

During the follow-up period, the incidence of CRC was 2.9 per 1,000 person-years (95% CI, 2.8–3.2) in the dialysis group and 1.2 per person-years (95% CI, 1.0–1.6) in the KT group (p < 0.001; Table 2). The mean time to CRC occurrence was slightly shorter in the dialysis group than in the KT group (4.5 years vs. 4.8 years). The unadjusted HR for CRC was 0.36 in the KT group compared with that in the dialysis group (95% CI, 0.28–0.46; p < 0.001). This result remained consistent after adjusting for potential confounders. Conversely, the adjusted HR for CRC was 0.54 in the KT group compared with that in the dialysis group (95% CI, 0.42–0.71; p < 0.001). The 15-year cumulative incidence of CRC was significantly higher in the dialysis group than in the KT group (5.37% vs. 1.83% [log-rank], p < 0.0001; Fig. 2). The landmark analysis showed that the 15-year cumulative CRC incidence remained consistently higher in the dialysis group after 3 and 5 years (p < 0.001 in all [log-rank], Fig. 3).

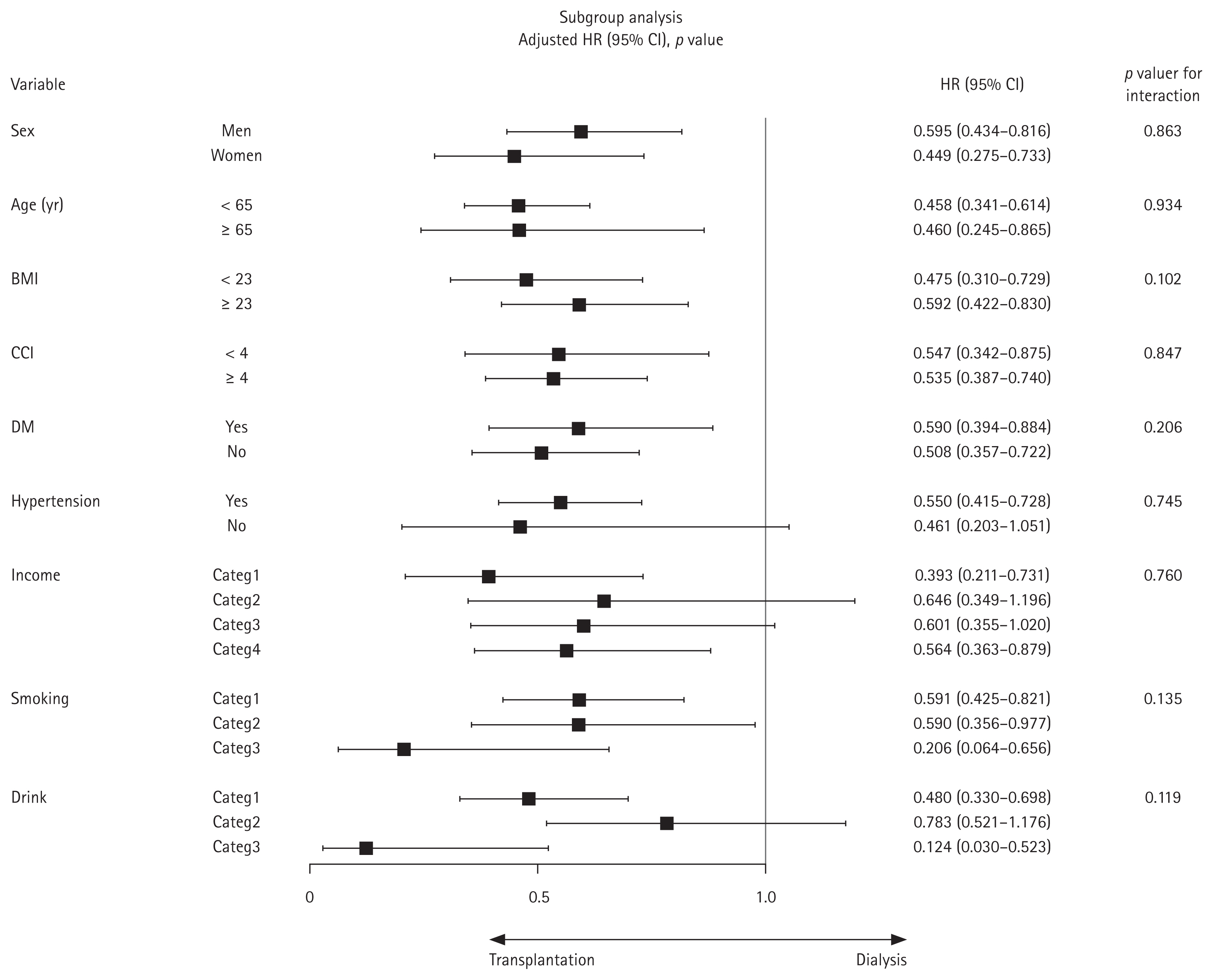
Association between renal replacement modality and CRC risk in different subgroups

CRC risk was consistently associated with renal replacement modality (dialysis vs. KT) across the subgroups (Fig. 4). Meanwhile, no significant interactions were found among subgroups stratified by sex, age, BMI, CCI score, DM, hypertension, income level, smoking status, and alcohol intake.

DISCUSSION

Using longitudinal cohort data from the Korean NHIS claims database, this study found that KT recipients had a significantly lower risk of developing CRC than patients with ESRD undergoing dialysis.
However, the previous results were conflicting. Overall cancer incidence has been reported to be significantly increased after KT; this increase may be related to long-term exposure to immunosuppressants [5,8]. A nationwide study in Taiwan also revealed that KT recipients had a significantly increased risk for CRC compared with the ESRD group on dialysis [10]. In contrast, a subgroup analysis from the Australian and New Zealand Dialysis and Transplant Registry showed that CRC incidence was not significantly increased after transplantation [6]. Additionally, this Oceanian study showed a reduced incidence of rectal cancer after KT compared with those on dialysis. In particular, when comparing our results with a nationwide study conducted in Taiwan [10], conflicting results were found despite similar study methods. This discrepancy may be due to the relatively short follow-up period in our study. Although the short follow-up period may affect the crude incidence rate, we compared CRC occurrence using longitudinal data obtained via KM analysis. Additionally, the effect of a short follow-up period will be statistically accounted because it is censored at the end of the follow-up period. Therefore, even if the KT group in our study had more participants with a relatively short follow-up period, the lower CRC incidence observed using the KM method of analyzing longitudinal data remains statistically significant.
We conducted subgroup analyses to investigate factors affecting CRC incidence; however, no meaningful differences were observed between these subgroups. Using a stepwise model with potential confounders, we found that the adjusted HR was significantly higher in the dialysis group than in the KT group. Therefore, KT for patients with ESRD may be an independent protective factor against CRC occurrence. To explain the association between KT and CRC risk reduction, we need specific data on pretransplant colonoscopy because this screening method is generally considered as the most important protective factor for reducing future CRC development [15]. However, we could not obtain the exact information on colonoscopy history in both participant groups because of limitations from the NHIS database. Typically, KT candidates undergo cancer screening, with colonoscopy as the most frequent, before transplantation. Conversely, colonoscopy is not routinely considered as a primary screening method for CRC in patients with asymptomatic ESRD receiving dialysis because of the increased risk of colonoscopy-related complications, such as perforation (iatrogenic perforation and postpolypectomy bleeding) [16,17].
According to our study results, the overall incidence of CRC in the dialysis and KT groups was 2.9 and 1.2 per 1,000 person-years, and the 15-year cumulative incidence was 5.37% and 1.83%, respectively. Interestingly, these findings were comparable to those reported in previous studies examining the association between long-term CRC incidence and index colonoscopy findings. The overall and cumulative incidence rates of CRC in the dialysis group were similar to those in high-risk patients without colonoscopy surveillance, whereas those in the KT group were similar to those in the low-risk group with at least one surveillance visit [15,18]. Although the incidence of CRC in the KT group was relatively lower than that in the dialysis-maintaining group, it remained higher than that in the general Korean population. The incidence of CRC after KT in our study was 1.2 per 1,000 people compared with the crude incidence of 0.6 per 1,000 people in Korea as of 2021 [19]. This aligns with the findings from a large-scale Canadian study, which reported a SIR of 1.4 for CRC after KT compared with the general population [7]. These results suggest that while KT may reduce CRC risk compared with dialysis, transplant recipients still face an elevated risk compared with the general population. In the present study, screening colonoscopies were usually performed among KT recipients before transplantation, allowing inclusion of participants without CRC in the KT group. Conversely, the risk of bias might be possible because participants with undetected CRC were also included in the opposite group. To minimize this legacy effect of pre-KT screening colonoscopy, we conducted landmark analyses by setting time points at 3 and 5 years after KT. Results showed that the long-term cumulative incidence of CRC remained higher in the dialysis group even after each time point.
Many modifiable and nonmodifiable risk factors are involved in CRC development. The components of metabolic syndrome (e.g., abdominal obesity, high blood pressure, impaired fasting glucose, high triglyceride levels, and low high-density lipoprotein cholesterol levels) have been suggested as representative modifiable ones [20]. Aside from the screening effect of pretransplant colonoscopy, KT recipients’ metabolic status is expected to eventually improve after transplantation as compared with that of those patients who are still on dialysis. This improved metabolic status may also serve as a protection against CRC development [21,22]. One study analyzed the CRC risk factors among three ESRD groups (i.e., those not on dialysis, those on dialysis, and those who received KT) and found that the use of erythropoietin and azathioprine could be independent factors for CRC development [23]. The use of erythropoietin injections may explain the increase in CRC incidence in patients who rely on dialysis before KT. Currently, azathioprine is not routinely used in Korea as a preferred post-KT immunosuppressant. Furthermore, the chance of developing CRC from the long-term use of azathioprine seems to be low in this country [24].
This study has the strength of providing multifaceted evidence. Through comparisons between multiple subgroups and analyses of multiple landmark time points, the incidence of CRC may be reduced after KT as compared with that of those patients who remained on dialysis. Nevertheless, this study has several limitations. First, our study findings should be interpreted cautiously because conclusions concerning causality and the possibility of residual confounding cannot be excluded because of the observational study design. Second, detailed information concerning colonoscopy was unavailable. Possibly, colonoscopy examination would be performed more actively in the KT group than in the dialysis group before and after transplantation. Undergoing colonoscopy may have further enhanced the protective effect of KT against CRC incidence, but further research is needed for confirmation. Third, because our study participants were recruited from the Korean NHIS database, we could not present results analyzing colon and rectal cancer separately. Fourth, in the landmark analysis, only CRC cases that occurred after 3 or 5 years were included. Therefore, the CRC risk among patients with a relatively short follow-up period after KT or initiation of dialysis may have been inadequately assessed. Finally, our participants were of a single ethnic origin, given the differences in environmental exposures and sociodemographic and anthropometric factors between different ethnicities, our study results warrant further validation in other ethnic groups.
In conclusion, the CRC risk after KT was significantly lower than that of patients on dialysis, even after additional landmark analysis. Further investigation is needed, including data on colonoscopy, which is among the crucial factors associated with CRC occurrence.

KEY MESSAGE

1. Kidney transplant recipients had a significantly lower risk of colorectal cancer compared with patients on dialysis.
2. Landmark analyses at 3 and 5 years confirmed consistently higher cumulative incidence of colorectal cancer in the dialysis group.
3. Kidney transplantation may serve as an independent protective factor against colorectal cancer in patients with end-stage renal disease.

Notes

CRedit authorship contributions
Yongchel Ahn: conceptualization, methodology, data curation, formal analysis, writing - original draft, writing - review & editing; Hoon Yu: conceptualization, methodology, data curation, formal analysis, writing - original draft, writing - review & editing; Yoonjong Bae: resources, investigation, data curation, writing - review & editing; Mina Kim: resources, investigation, data curation, writing - review & editing; Seung Bum Lee: conceptualization, methodology, writing - original draft, writing - review & editing, supervision
Conflicts of interest
The authors disclose no conflicts.
Funding
None

Figure 1
Flowcharts.
kjim-2025-015f1.jpg
Figure 2
Cumulative incidence of colorectal cancer.
kjim-2025-015f2.jpg
Figure 3
Landmark analyses for the cumulative incidence of colorectal cancer. (A) Cumulative incidence after the 3-year landmark. (B) Cumulative incidence after the 5-year landmark.
kjim-2025-015f3.jpg
Figure 4
Subgroup analyses. BMI, body mass index; CCI, Charlson comorbidity index; DM, diabetes mellitus; HR, hazard ratio; CI, confidence interval.
kjim-2025-015f4.jpg
kjim-2025-015f5.jpg
Table 1
Baseline characteristics of the participants
Variable Dialysis (n = 60,202) KT (n = 4,955) p value
Age (yr) 64 ± 12 52 ± 12 < 0.001
Sex, male 38,416 (63.8) 2,817 (56.9) < 0.001
BMI (kg/m2) 24.0 ± 3.6 23.6 ± 3.4 < 0.001
Income level < 0.001
 First quartile (lowest) 16,306 (27.1) 966 (19.5)
 Second quartile 11,142 (18.5) 833 (16.8)
 Third quartile 13,841 (23.0) 1,223 (24.7)
 Fourth quartile (highest) 18,913 (31.4) 1,933 (39.0)
Smoking status < 0.001
 Never 35,867 (59.6) 3,167 (63.9)
 Former 14,188 (23.6) 1,196 (24.1)
 Current 10,147 (16.9) 592 (11.9)
Alcohol intake < 0.001
 Non-drinker 31,298 (51.9) 2,078 (41.9)
 1–3 times/week 14,489 (24.1) 1,829 (36.9)
 ≥ 4 times/week 14,415 (23.9) 1,048 (21.2)
Comorbidities
 Hypertension 55,919 (92.9) 3,940 (79.5) < 0.001
 Diabetes mellitus 36,576 (60.8) 1,210 (24.4) < 0.001
 Charlson comorbidity index score 5.9 ± 3.3 3.5 ± 2.4 < 0.001

Values are shown as mean ± standard deviation or number (%).

KT, kidney transplantation; BMI, body mass index.

Table 2
Comparison of the risk of colorectal cancer between the dialysis group and the KT group
Incidence rate (per 1,000 person-years) Dialysis KT p value


2.9 (2.8–3.2) 1.2 (1.0–1.6)
Model 1

Hazard ratio (95% CI) 1 (Ref.) 0.360 (0.279–0.464) < 0.001

Model 2

Hazard ratio (95% CI) 1 (Ref.) 0.511 (0.393–0.664) < 0.001

Model 3

Hazard ratio (95% CI) 1 (Ref.) 0.531 (0.408–0.691) < 0.001

Model 4

Hazard ratio (95% CI) 1 (Ref.) 0.541 (0.415–0.705) < 0.001

Model 1: unadjusted. Model 2: adjusted for age and sex. Model 3: adjusted for age, sex, smoking status, alcohol consumption, and income level. Model 4: adjusted for age, sex, smoking status, alcohol consumption, income level, body mass index, and hypertension and diabetes mellitus presence.

KT, kidney transplantation; CI, confidence interval.

REFERENCES

1. Carlos CA, McCulloch CE, Hsu CY, et al.; Centers for Disease Control and Prevention Chronic Kidney Disease Surveillance Team. Colon cancer screening among patients receiving dialysis in the United States: are we choosing wisely? J Am Soc Nephrol 2017;28:2521–2528.
crossref pmid pmc
2. Komaki Y, Komaki F, Micic D, Ido A, Sakuraba A. Risk of colorectal cancer in chronic kidney disease: a systematic review and meta-analysis. J Clin Gastroenterol 2018;52:796–804.
crossref pmid
3. Kwon SK, Han JH, Kim HY, et al. The incidences and characteristics of various cancers in patients on dialysis: a Korean nationwide study. J Korean Med Sci 2019;34:e176.
crossref pmid pmc pdf
4. Wu MY, Chang TC, Chao TY, Huang MT, Lin HW. Risk of colorectal cancer in chronic kidney disease: a matched cohort study based on administrative data. Ann Surg Oncol 2013;20:3885–3891.
crossref pmid pdf
5. Kasiske BL, Snyder JJ, Gilbertson DT, Wang C. Cancer after kidney transplantation in the United States. Am J Transplant 2004;4:905–913.
crossref pmid
6. Vajdic CM, McDonald SP, McCredie MR, et al. Cancer incidence before and after kidney transplantation. JAMA 2006;296:2823–2831.
crossref pmid
7. Villeneuve PJ, Schaubel DE, Fenton SS, Shepherd FA, Jiang Y, Mao Y. Cancer incidence among Canadian kidney transplant recipients. Am J Transplant 2007;7:941–948.
crossref pmid
8. Agraharkar ML, Cinclair RD, Kuo YF, Daller JA, Shahinian VB. Risk of malignancy with long-term immunosuppression in renal transplant recipients. Kidney Int 2004;66:383–389.
crossref pmid
9. Collett D, Mumford L, Banner NR, Neuberger J, Watson C. Comparison of the incidence of malignancy in recipients of different types of organ: a UK Registry audit. Am J Transplant 2010;10:1889–1896.
crossref pmid
10. Wang HE, Liao YC, Hu JM, et al. Correlation between kidney transplantation and colorectal cancer in hemodialysis patients: a nationwide, retrospective, population-based cohort study. BMC Cancer 2019;19:1120.
crossref pmid pmc pdf
11. Charlson ME, Pompei P, Ales KL, MacKenzie CR. A new method of classifying prognostic comorbidity in longitudinal studies: development and validation. J Chronic Dis 1987;40:373–383.
crossref pmid
12. Quan H, Sundararajan V, Halfon P, et al. Coding algorithms for defining comorbidities in ICD-9-CM and ICD-10 administrative data. Med Care 2005;43:1130–1139.
crossref pmid
13. Choi YY, Lee JK, Kim HS, Kim DW, Kim HM, Kang DR. Medications and the risk of colorectal cancer in patients with inflammatory bowel diseases: use of the landmark method. Yonsei Med J 2021;62:997–1004.
crossref pmid pmc pdf
14. Kim J, Kang D, Park H, et al. Long-term β-blocker therapy and clinical outcomes after acute myocardial infarction in patients without heart failure: nationwide cohort study. Eur Heart J 2020;41:3521–3529.
crossref pmid pdf
15. Atkin W, Wooldrage K, Brenner A, et al. Adenoma surveillance and colorectal cancer incidence: a retrospective, multicentre, cohort study. Lancet Oncol 2017;18:823–834.
crossref pmid pmc
16. Navaneethan U, Parasa S, Venkatesh PG, Shen B. Prevalence and risk factors for colonic perforation during colonoscopy in hospitalized end-stage renal disease patients on hemodialysis. Int J Colorectal Dis 2012;27:811–816.
crossref pmid pdf
17. Yang SC, Wu CK, Tai WC, et al. Incidence and risk factors of colonoscopic post-polypectomy bleeding and perforation in patients with end-stage renal disease. J Gastroenterol Hepatol 2020;35:1704–1711.
crossref pmid pdf
18. Click B, Pinsky PF, Hickey T, Doroudi M, Schoen RE. Association of colonoscopy adenoma findings with long-term colorectal cancer incidence. JAMA 2018;319:2021–2031.
crossref pmid pmc
19. Park EH, Jung KW, Park NJ, et al.; Community of Population-Based Regional Cancer Registries. Cancer statistics in Korea: incidence, mortality, survival, and prevalence in 2021. Cancer Res Treat 2024;56:357–371.
crossref pmid pmc pdf
20. Dekker E, Tanis PJ, Vleugels JLA, Kasi PM, Wallace MB. Colorectal cancer. Lancet 2019;394:1467–1480.
crossref pmid
21. Lee YH, Song SH, Song SH, et al.; KOTRY Study Group. Clinical implications of changes in metabolic syndrome status after kidney transplantation: a nationwide prospective cohort study. Nephrol Dial Transplant 2023;38:2743–2753.
pmid
22. Lee J, Lee KS, Kim H, et al. The relationship between metabolic syndrome and the incidence of colorectal cancer. Environ Health Prev Med 2020;25:6.
crossref pmid pmc pdf
23. Au EH, Wong G, Howard K, et al. Factors associated with advanced colorectal neoplasia in patients with CKD. Am J Kidney Dis 2022;79:549–560.
crossref pmid
24. Chang JY, Yu J, Chung BH, et al. Immunosuppressant prescription pattern and trend in kidney transplantation: a multicenter study in Korea. PLoS One 2017;12:e0183826.
crossref pmid pmc

Editorial Office
101-2501, Lotte Castle President, 109 Mapo-daero, Mapo-gu, Seoul 04146, Korea
Tel: +82-2-2271-6792    Fax: +82-2-790-0993    E-mail: kaim@kams.or.kr                

Copyright © 2026 by Korean Association of Internal Medicine.

Close layer
prev next